Steroider er så mangt

    ()

    sporsmal_grey_rgb
    Artikkel

    Steroider er en samlebetegnelse på kortikosteroider, kjønnshormoner og andre steroider. I faglige sammenhenger bør man stort sett unngå å bruke termen steroider.

    Antakelig skjønte de fleste av Tidsskriftets lesere hvilken behandling det dreide seg om i den korte kasuistikken «Pasient med alvorlig covid-19 behandlet med steroider» (1). Tittelen er likevel ikke presis, for den åpner for at pasienten fikk alt fra D-vitamintilskudd til p-piller. I en annen kasuistikk er tittelen litt bedre: «Kortikosteroider til sykehjemspasienter med covid-19?» (2). Men heller ikke den er entydig.

    I dagligtalen bruker mange leger steroider synonymt med glukokortikoider, og misforståelser oppstår antakelig sjelden i klinisk praksis. Blant pasienter er både kortison og prednisolon vanlige måter å omtale glukokortikoider på. Noen snakker om å være på steroider som et forsterkende uttrykk, for eksempel «Språkdebatt på steroider» (3). Sannsynligvis er dette en påvirkning fra det engelske on steroids, og en henvisning til ekstreme resultater som anabole steroider kan føre til.

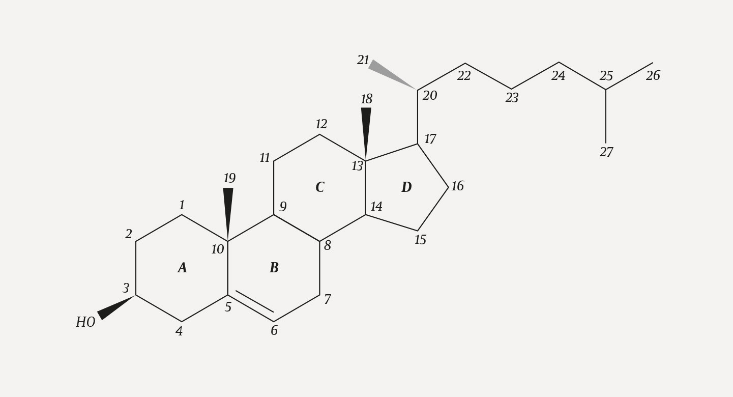
    Steroider er molekyler med fire ringstrukturer organisert i en karakteristisk konfigurasjon (Figur 1) (4). Steroidene har viktige fysiologiske funksjoner i sopp, planter og dyr. Kolesterol er i volum det klart dominerende steroidet i kroppen, og hovedfunksjonen er å gi cellemembraner optimal viskositet. Andre eksempler på viktige steroider er Vitamin D (kolekalsiferol) og gallesyrer.

    De to hovedklassene steroidhormoner er kortikosteroider, som produseres i binyrebarken (korteks), og kjønnshormoner, som hovedsakelig produseres i gonadene (Tabell 1). Medisinsk sett er steroidene mest interessante som signalmolekyler, og syntetiske steroidhormoner er noen av de viktigste legemidlene vi har. På engelsk brukes ofte betegnelsen corticosteroids tilsvarende som steroider i norsk dagligtale. Brukt som omtale av glukokortikoider er dette bedre, men kortikosteroider omfatter også mineralkortikoider.

    Tabell 1

    Oversikt over steroider i menneskekroppen, hovedgrupper og de viktigste endogene steroidene. Eksempler på syntetiske steroidhormoner i kursiv.

           Steroidhormoner

    Andre steroider

           Kortikosteroider

           Kjønnshormoner

    Glukokortikoider

    Mineralkortikoider

    Androgener

    Østrogener

    Progestagener

    Kortisol

    Aldosteron

    Testosteron

    Dehydroepiandrosteron

    Androstendion

    Østron

    Østradiol

    Østriol

    Estetrol

    Progesteron

    Kolesterol

    Vitamin D

    Gallesalter

    Betametason

    Deksametason

    Flutikason

    Hydrokortison

    Kortison

    Metylprednisolon

    Prednisolon

    Triamcinolon

    Fludrokortison

    Anabole steroider

    Etinyløstradiol

    Tibolon

    Progestiner:

    Desogestrel

    Dienogest

    Drospirenon

    Etonogestrel

    Levonorgestrel

    Medroksyprogesteron

    Noretisteron

    Navnet på flere av de syntetiske glukokortikoidene, slik som prednisolon og hydrokortison, er velkjente blant folk flest. Ofte vil det være mest hensiktsmessig å bruke selve legemiddelnavnet fremfor det mer tungvinte og ikke helt innarbeidete uttrykket glukokortikoider.

    Kommentarer  ( 1 )
    PDF
    Skriv ut

    Anbefalte artikler