«Sulfaallergi» – hvilke legemidler må pasienten unngå?

    ()

    sporsmal_grey_rgb
    Abstract

    Allergic reactions to sulfonamide antibiotics are common. A number of other drugs (for example diuretics, anti-diabetic drugs, cyclooxygenase-2 inhibitors and triptans) are also chemically speaking sulphonamides, and many of these are considered to be contraindicated in patients who have experienced an allergic reaction to sulfonamide antibiotics. What is the risk of allergic cross-reactivity between different sulfonamides and to what extent must this be taken into account in clinical practice?

    Artikkel

    Allergiske reaksjoner på sulfonamidholdige antibiotika er vanlig. En rekke andre legemidler (f.eks. mange diuretika, antidiabetika, cyklooksygenase-2-hemmere og triptaner) er også kjemisk sett sulfonamider. Mange av disse angis å være kontraindisert dersom man har reagert allergisk på sulfa. Hva er risikoen for allergiske kryssreaksjoner mellom ulike sulfonamider, og i hvilken grad må det tas hensyn til dette i klinisk praksis?

    Inntil 6 % av alle pasienter som behandles med et antibiotikum av sulfonamidtype, får en allergisk reaksjon. Reaksjonene kan variere fra akutte type 1-allergiske reaksjoner, som urticaria og anafylaksi, via type 2- og type 3-allergiske reaksjoner til type 4-allergiske senreaksjoner som Stevens-Johnsons syndrom og toksisk epidermal nekrolyse (1) – (3).

    Begrepene «sulfaallergi» og «cave sulfa» brukes oftest hos pasienter som har reagert allergisk på sulfonamidholdige antibiotika som sulfametoksazol, og det er også gjerne antibiotika man tenker på når man hører ordet «sulfonamid». Det finnes imidlertid en rekke andre legemidler som er sulfonamider, og strengt tatt vil derfor begrepene «sulfaallergi» og «cave sulfa» også omfatte sulfonamider som ikke er antibiotika. Eksempler på slike legemidler er mange vanlig brukte diuretika, perorale antidiabetika av sulfonylureatype og karboanhydrasehemmere og noen syklooksygenase-(COX)-2-hemmere, triptaner, antiepileptika og antivirale midler (tab 1).

    Tabell 1

    Oversikt over legemidler som er sulfonamider og/eller der det i preparatomtalen i Felleskatalogen er angitt spesielle forholdsregler hos pasienter med kjent sulfaallergi. Prinsipielt viktige immunogene kjemiske grupper koblet til sulfonamidstrukturen er angitt i de to kolonnene til høyre. Dette er nærmere forklart i figur 1

    Legemiddelgruppe

    Virkestoff

    Sulfonamid

    Forholdsregel ved sulfaallergi ifølge Felleskatalogen

    Aromatisk gruppe koblet til nitrogenatomet (fig 1)

    Arylamin koblet til svovelatomet (fig 1)

    Antibiotika

    Sulfametoksazol

    Ja

    Kontraindisert

    Ja

    Ja

    Sølvsulfadiazin¹

    Ja

    Forsiktighet

    Ja

    Ja

    Dapson

    Nei²

    Kontraindisert

    Ja²

    Ja

    Diuretika

    Furosemid

    Ja

    Kontraindisert

    Nei

    Nei

    Bumetanid

    Ja

    Forsiktighet

    Nei

    Nei

    Hydroklortiazid

    Ja

    Kontraindisert

    Nei

    Nei

    Antidiabetika

    Glipizid

    Ja

    Forsiktighet

    Nei³

    Nei

    Glimepirid

    Ja

    Kontraindisert

    Nei³

    Nei

    Glibenklamid

    Ja

    Kontraindisert

    Nei³

    Nei

    Karboanhydrasehemmere

    Acetazolamid

    Ja

    Kontraindisert

    Nei

    Nei

    Dorzolamid

    Ja

    Ingen spesifikk⁴

    Nei

    Nei

    Brinzolamid

    Ja

    Kontraindisert

    Nei

    Nei

    Antiinflammatoriske legemidler

    Sulfasalazin

    Ja

    Kontraindisert

    Ja

    Ja

    Celekoksib

    Ja

    Kontraindisert

    Nei

    Nei

    Parekoksib

    Ja

    Forsiktighet

    Nei

    Nei

    Migrenemidler

    Sumatriptan

    Ja

    Forsiktighet

    Nei

    Nei

    Naratriptan

    Ja

    Forsiktighet

    Nei

    Nei

    Antiepileptika

    Zonisamid

    Ja

    Kontraindisert

    Nei

    Nei

    Topiramat

    Ja

    Ingen

    Nei

    Nei

    Antivirale midler

    Fosamprenavir

    Ja

    Forsiktighet

    Nei³

    Ja

    Darunavir

    Ja

    Forsiktighet

    Nei³

    Nei

    Simeprevir

    Ja

    Ingen

    Nei³

    Nei

    Andre

    Sotalol

    Ja

    Ingen

    Ja

    Nei

    Probenecid

    Ja

    Ingen

    Nei

    Nei

    Tamsulosin

    Ja

    Ingen

    Nei

    Nei

    [i]

    [i] ¹   Kun tilgjengelig til lokal bruk på huden, men systemisk absorpsjon kan bli betydelig

    ²   Dapson er ikke et sulfonamid, men et sulfon (det inneholder -SO₂-gruppen, men uten noen -NH-gruppe som kjernestruktur). Midlet inneholder aromatiske grupper på begge sider av -SO₂-gruppen

    ³   Den aktuelle sidekjeden inneholder en eller flere aromatiske grupper, men denne/disse er ikke koblet direkte til -NH-gruppen

    ⁴   Det er under avsnittet Bivirkninger nevnt at dorzolamid inneholder en sulfonamidgruppe og at bivirkninger som kjennetegner sulfonamider ikke kan utelukkes

    For de fleste av disse midlene er det i preparatomtalen i Felleskatalogen angitt at det bør tas spesielle forholdsregler ved bruk hos pasienter med kjent allergisk reaksjon på sulfa – enten ved at slik reaksjon er nevnt som en kontraindikasjon eller ved at det må utvises forsiktighet (tab 1). Spørsmålet er om risikoen for kryssreaktivitet mellom disse midlene er så stor at dette er nødvendig.

    Enkeltkasuistikker

    Enkeltkasuistikker

    Mistanken om kryssreaktivitet mellom antibiotika av sulfonamidtype og andre sulfapreparater stammer fra kasuistikker publisert i 1960-årene. I en systematisk gjennomgang fra 2013 (2) ble det identifisert ni kasuistikker som beskrev mistenkt kryssreaktivitet mellom sulfonamidholdige antibiotika og sulfonamider av ikke-antibiotikatype.

    Beskrivelsen av symptomene og diagnostikken var i mange tilfeller mangelfull og uklar. Den første reaksjonen var gjerne selvrapportert og hadde skjedd langt tilbake i tid, og adekvat allergitesting med tanke på kryssreaktivitet der dette var mulig, var ikke blitt utført. De angitte symptomene kunne mange ganger like gjerne forklares med andre forhold enn allergi, og i den grad det hadde vært ekte allergiske reaksjoner, var det usikkert om det dreide seg om reelle kryssreaksjoner eller om at én og samme pasient hadde reagert allergisk på de to preparatene via to uavhengige allergener (2).

    Systematiske studier

    Systematiske studier

    Det er publisert både kliniske studier, epidemiologiske studier og in vitro-studier som kaster lys over graden av kryssreaktivitet mellom ulike sulfapreparater. Strom og medarbeidere gjennomførte i 2003 en retrospektiv kohortstudie basert på britiske helseregistre (3). De fant at av 969 pasienter som hadde fått en allergisk reaksjon på et sulfonamidantibiotikum og senere var blitt eksponert for et sulfonamid av ikke-antibiotikatype, var det 9,9 % som hadde fått en allergisk reaksjon. I kontrollgruppen, som besto av 4 736 pasienter som hadde reagert allergisk på penicillin, var det 14,6 % som hadde fått en allergisk reaksjon ved senere bruk av et sulfonamid av ikke-antibiotikatype. Det var altså en signifikant lavere risiko for å få en allergisk reaksjon av et sulfonamid av ikke-antibiotikatype hvis man hadde en sulfaallergi fra før enn hvis man var allergisk mot penicillin (justert oddsratio 0,6; 95 % konfidensintervall 0,5 – 0,8).

    Disse resultatene tyder på at det ikke dreier seg om noen ekte kryssreaktivitet mellom antibiotika av sulfonamidtype og ikke-antibiotikasulfonamider og at de publiserte kasuistikkene snarere er et uttrykk for at hvis man først er allergisk mot ett legemiddel, så har man også større risiko for å få en allergisk reaksjon på et annet legemiddel – uavhengig av om det er noen likheter i kjemisk struktur eller ikke. Dette underbygges av at av de 19 257 pasientene som ikke hadde reagert allergisk på noen legemidler tidligere, var det kun 1,6 % som hadde fått en allergisk reaksjon på et sulfonamid av ikke-antibiotikatype (3).

    COX-2-hemmere er en av de legemiddelgruppene som er best studert med hensyn til mulig kryssreaktivitet ved sulfaallergi. I 1999 ble det gjort en gjennomgang av 14 dobbeltblindede studier av celekoksib, med i alt 11 008 pasienter (4). Selv om sulfaallergi var et eksklusjonskriterium i disse studiene, var 135 pasienter med sulfaallergi likevel blitt inkludert. Hos disse 135 var det hudutslett hos 4,1 % av dem som fikk celekoksib, hos 12,5 % av dem som fikk placebo og hos 3,3 % av dem som fikk et annet ikke-steroid antiinflammatorisk middel. Det var altså ingen økt risiko for allergiske reaksjoner av celekoksib.

    I en observasjonsstudie ble 94 pasienter med egenrapportert sulfaallergi fra tidligere studert nærmere i forbindelse med et sykehusopphold (5). Etter at den allergiske reaksjonen hadde oppstått, hadde 43 % av pasientene brukt sulfonamider av ikke-antibiotikatype, som furosemid, hydroklortiazid, glibenklamid og glipizid, uten problemer. Den gjennomsnittlige behandlingstiden med disse midlene hadde vært 6,2 år.

    I en studie med 26 pasienter som hadde reagert allergisk på et sulfonamidantibiotikum (de aller fleste på sulfametoksazol), ble det gjort peroral provokasjonstesting med sulfametoksazol, sulfametizol (ikke godkjent i Norge), sulfadiazin (godkjent i Norge i form av sølvsulfadiazin til lokal bruk), furosemid og glipizid. 100 % reagerte på sulfametoksazol, 42 % på sulfametizol på og 32 % på sulfadiazin, mens ingen reagerte på furosemid eller glipizid (6). Her var det altså klare holdepunkter for kryssreaktivitet mellom ulike sulfonamidantibiotika, men ikke mellom sulfonamidantibiotika og andre sulfonamider.

    Det eneste sulfonamidet av ikke-antibiotikatype som klart har vist kryssreaktivitet med sulfonamidantibiotika, er sulfasalazin. I en studie ble reaktiviteten til lymfocytter fra fem pasienter som tidligere hadde hatt en allergisk hudreaksjon på enten sulfametoksazol eller sulfasalazin testet in vitro (7). Man fant at lymfocyttenes reaktivitet på de to sulfapreparatene var like kraftig, uavhengig av om pasienten i utgangspunktet hadde reagert på sulfametoksazol eller på sulfasalazin, noe som klart indikerer kryssreaktivitet mellom midlene.

    Kjemisk struktur

    Kjemisk struktur

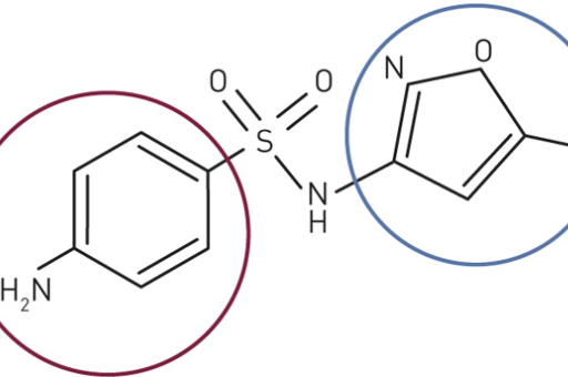
    Sulfonamider som er antibiotika, som sulfametoksazol, inneholder en sulfonamidgruppe (-SO₂-NH-) der nitrogenet er bundet til en fem- eller seksleddet ringstruktur (aromatisk struktur), mens svovelet er koblet til en benzenring med en NH₂-gruppe i motsatt ende, et såkalt arylamin (fig 1).

    Det er godt dokumentert at det ikke er sulfonamidgruppen i seg selv, men ringstrukturen koblet til -NH-gruppen (fig 1) som er den primære kjemiske determinanten for IgE-medierte reaksjoner (1, 8). Det kan imidlertid ikke utelukkes at også arylaminet koblet til ‑SO₂-gruppen kan utløse IgE-medierte reaksjoner, eventuelt at disse i fellesskap øker immunogenisiteten ytterligere (9). Dette er i overensstemmelse med at det er de sulfonamidene som inneholder begge disse gruppene (tab 1) som oftest gir IgE-medierte reaksjoner (10).

    For type 2-, type 3- og type 4-allergiske reaksjoner er sammenhengen med kjemisk struktur mer kompleks. Mye tyder på at reaktive metabolitter i større grad er sentrale her, men at også disse reaksjonene uansett er knyttet til sidekjedenes tredimensjonale struktur og ikke til sulfonamidgruppen som sådan, og da til arylaminet koblet til -SO₂-gruppen (fig 1) (1, 11).

    Grad av kryssreaktivitet bestemmes ut fra likheter i kjemisk struktur, ikke av fellestrekk i farmakologisk effekt eller indikasjonsområde. De to essensielle gruppene, den med ringstrukturen koblet til -NH-gruppen og den med arylaminet koblet til -SO₂-gruppen, finnes hos sulfonamider som er antibiotika (i Norge sulfametoksazol og sølvsulfadiazin) i tillegg til hos sulfasalazin (tab 1). Sulfonet dapson har også ringstrukturer på begge sider av -SO₂-gruppen (tab 1).

    Av de øvrige midlene inneholder sotalol og fosamprenavir noen av de potensielt immunogene strukturene med tanke på kryssreaktivitet (tab 1). Siden det ikke finnes noen holdepunkter for større risiko for kryssreaktivitet for disse to enn for de andre sulfonamidene som ikke er antibiotika, må de imidlertid likevel være tilstrekkelig ulike kjemisk. Ingen av de andre sulfonamidene som er godkjent i Norge inneholder noen av de aktuelle kjemiske strukturene (tab 1).

    Ut fra ovennevnte resonnement med hensyn til likhet i kjemisk struktur kan det tenkes at det vil foreligge kryssreaktivitet også mellom ulike sulfonamider som ikke er antibiotika, for eksempel innbyrdes i sulfonylureagruppen og mellom ulike diuretika. Selv om det ikke foreligger noen god dokumentasjon på dette, bør dette føre til forsiktighet med andre midler i samme gruppe hvis en pasient har reagert allergisk på ett middel. Hvis reaksjonen har vært alvorlig eller potensielt alvorlig (sikker IgE-mediert reaksjon, Stevens-Johnsons syndrom eller toksisk epidermal nekrolyse), vil det trolig være mest fornuftig helt å unngå midler i samme gruppe.

    Konklusjon

    Konklusjon

    De kasuistikkene som er publisert vedrørende kryssreaksjoner mellom sulfonamidantibiotika og sulfonamider som ikke er antibiotika, er usikre og svært få i forhold til den totale bruken av de aktuelle legemidlene. Det foreligger en rekke systematiske studier som viser at risikoen for denne typen kryssreaksjoner er minimal. Resultatene kan forklares ut fra de ulike sulfapreparatenes kjemiske sammensetning, der det er sidekjedene og ikke sulfonamidgruppen som er viktig for de allergiske reaksjonene. Dermed vil kryssreaksjoner kun oppstå mellom sulfapreparater som har svært lik tredimensjonal molekylstruktur i sidekjedene.

    Dette forklarer at det foreligger kryssreaktivitet mellom sulfonamider som er antibiotika (i Norge sulfametoksazol og sølvsulfadiazin) samt det antiinflammatoriske midlet sulfasalazin og sulfonet dapson. Mellom disse midlene og øvrige sulfonamider (diuretika, antidiabetika, karboanhydrasehemmere, migrenemidler, antiepileptika osv.) tyder tilgjengelig dokumentasjon på at det ikke foreligger kryssreaktivitet.

    Det betyr imidlertid ikke at slike midler aldri vil gi allergiske reaksjoner hos pasienter med tidligere allergisk reaksjon mot sulfa, kun at risikoen for å få en allergisk reaksjon på noen av disse midlene ikke er høyere om man er allergisk mot et sulfonamidantibiotikum enn om man er allergisk mot et hvilket som helst annet legemiddel. Hvis man først er allergisk mot ett legemiddel, har man også større risiko for å få en allergisk reaksjon på et annet. Har man reagert allergisk på mange ulike legemidler tidligere, er det grunn til å være generelt forsiktig med midler som ofte gir allergiske reaksjoner.

    Preparatomtalene i Felleskatalogen spriker når det gjelder hvilke forholdsregler som anbefales ved «sulfaallergi» (tab 1). For midler som furosemid, hydroklortiazid, glimepirid og glibenklamid angis «sulfaallergi» som kontraindikasjon, mens preparatomtalene for mange andre ikke-antibiotikasulfonamider angir at forsiktighet bør utvises. Tilgjengelig dokumentasjon viser at dette er unødvendig strengt og kan frarøve pasienter nødvendig behandling.

    Kommentarer  ( 0 )
    PDF
    Skriv ut

    Anbefalte artikler