Legers faglige ytringsfrihet

    ()

    sporsmal_grey_rgb
    Abstract
    Bakgrunn.

    Bakgrunn.

    Sykehusreformen i 2002 hadde som erklært målsetting klarere ansvarsfordeling, bedre tilgang for alle og mer effektiv bruk av tilgjengelige ressurser. I den nye ordningen må medisinskfaglig ansvarlige i større grad forholde seg til profesjonelle ledere uten medisinsk kompetanse – med fare for at budsjettbalansen får forrang foran etikken og faget. Vi ønsket å se på i hvilken grad sykehusleger finner det vanskelig å si ifra om faglig utilfredsstillende forhold «oppover i systemet», det vi har kalt «faglig ytringsfrihet», og om det har vært noen endring i opplevelsen av faglig ytringsfrihet fra 2000 til 2004.

    Materiale og metode.

    Materiale og metode.

    Et panel på 897 yrkesaktive leger svarte både i 2000 og i 2004 på fire utsagn om faglig ytringsfrihet. De ble bedt om å gradere i hvilken grad det på deres arbeidsplass var mulig å kritisere uten å risikere sanksjoner fra avdelingsledelsen eller den administrative ledelsen og om man ved å kritisere utsatte seg for stor personlig belastning eller risikerte å måtte skifte arbeidsplass.

    Resultater.

    Resultater.

    Andelen som syntes at det var vanskelig å si ifra var betydelig – 24 % mente at man risikerte sanksjoner fra avdelingsledelsen og 49 % at man risikerte sanksjoner fra den administrative ledelsen. 68 % mente at de ved å kritisere utsatte seg for stor personlig belastning og 29 % at man kunne bli tvunget til å skifte arbeidsplass. For alle fire utsagnene var det en signifikant endring – man mente risikoen for sanksjoner var høyere i 2004 enn i 2000.

    Fortolkning.

    Fortolkning.

    Det er en tydelig tendens til at sykehusleger i økende grad synes det er vanskelig å si ifra om faglig utilfredsstillende forhold. Dette representerer en trussel mot pasientsikkerheten og er et kraftig signal til sykehusenes administrative ledere om å få en bedre dialog med legene.

    Abstract

    Background.

    The hospital reform of 2002 organized Norwegian hospitals into health enterprises (independent legal subjects) and transferred overall responsibility from the counties to the central government (also the owner of the hospitals). The reform aimed at clarification of responsibility levels, improved access for all and more effective use of available resources. The new organization requires that medical professionals to a larger extent than before relate to professional leaders without medical competence; there is therefore an inherent risk of making the budget balance more important than ethics and the profession itself. We wanted to study whether the reform influenced the physicians’ perception of professional right of voice.

    Material and method.

    In 2000 and 2004, a representative panel of 897 physicians responded to four statements about perceived (graded) professional right of voice related to putting forward criticism; two statements concerned the perceived risk of sanctions from their immediate professional and administrative superiors and two statements concerned the risk of heavy personal strain and having to find another job.

    Results.

    A substantial proportion of physicians found it difficult to present criticism to superiors. 24 % perceived a risk of sanctions from professional superiors and 49 % from administrative superiors, 68 % felt they risked heavy personal strain and 29 % felt they would have to find another job. There was a statistically significant increase in four variables from 2000 to 2004.

    Interpretation.

    There is a clear tendency for hospital doctors to experience increased difficulties in reporting sub-standard conditions at their work. This represents a threat to patient safety, and is a signal to the administrative leaders to improve their dialogue with the physicians.

    Main findings
    Tabell

    Hovedbudskap

    • Norske leger synes at de fra 2000 til 2004 har fått mindre mulighet til å si ifra til sine overordnede om faglige forhold som ikke er tilfredsstillende

    • En del av forklaringen kan være at arbeidsorganisasjonen forventer mer lojalitet og mindre kritikk

    • Det er viktig for pasientsikkerheten og arbeidsmiljøet at legene ikke mener den faglige ytringsfriheten er begrenset

    Artikkel
    Innledning

    I 2002 ble eier- og driftsansvaret for 250 norske helseinstitusjoner overført fra fylkene til staten gjennom fem regionale og 34 lokale helseforetak. Reformen innebar også nye organisasjons- og styringsprinsipper. Mens sykehusdriften før reformen ofte ble kritisert for å være ineffektiv, bl.a. som følge av for sterke lokalpolitiske interesser og fylkespolitikere med liten helsefaglig og helseadministrativ kompetanse, er sykehusene nå organisert som uavhengige rettssubjekter med egne foretaksstyrer, etter modell fra næringslivet. Helseforetakene har en erklært målsetting om klarere ansvarsfordeling, bedre tilgang for alle og, ikke minst, mer effektiv bruk av tilgjengelige ressurser (1).

    I den nye ordningen må de medisinskfaglig ansvarlige i større grad forholde seg til profesjonelle ledere uten medisinsk kompetanse. Disse blir ofte beskyldt for å sette budsjettbalansen foran etikken og faget. Klinikerne kan til tider oppleve at de kommer i klemme mellom pasientenes (og myndighetenes) krav om faglig optimal behandling og ledelsens og politikernes krav om kontroll med kostnadene.

    Når de økonomiske rammene er for trange eller organiseringen av helsetjenesten suboptimal, er faglig kvalitet og pasientsikkerhet truet. Under slike forhold har helsepersonell ifølge helsepersonelloven § 17 en lovpålagt plikt til å si ifra. Med økende avstand mellom klinisk personale og ledelse er ikke dette alltid enkelt. Det har i tillegg vært pekt på at den nye foretaksreformen stiller strengere krav til de ansattes lojalitet overfor ledelsen. Det finnes en del anekdotiske beretninger om medisinske ledere som har meldt fra om ressursknapphet og økt risiko for uforsvarlig behandling eller feil og som i neste omgang har måttet gå fra jobben eller har hatt problemer med å få ny jobb nettopp fordi det skjedde en feil. Dessverre er det vanskelig å dokumentere slike hendelser.

    Det kan være grunn til å se nærmere på om legene tror at det å komme med kritikk har negative konsekvenser for dem og om det har vært endringer i dette etter innføringen av sykehusreformen.

    Materiale og metode

    Materiale og metode

    Legeforeningens forskningsinstitutt har opprettet et referansepanel på rundt 1 600 leger som annethvert år får tilsendt et skjema med spørsmål om helse, arbeidsforhold og aktuelle helsepolitiske problemstillinger. Denne artikkelen er basert på data fra to spørreskjemaer – ett som i 2000 ble sendt til 1 616 leger og ett som i 2004 ble sendt til 1 497 av de samme legene. Grunnen til det noe lavere antallet i 2004 var at 119 leger var ute av panelet, først og fremst fordi de hadde gått av med pensjon. Ellers skyldtes frafallet dødsfall eller at man ikke ønsket å være med lenger.

    Vi var interessert i om sykehusreformen i 2002 kunne ha påvirket legenes oppfatning om hvor lett det var å si ifra om faglig utilfredsstillende forhold på arbeidsplassen, heretter kalt «faglig ytringsfrihet». Til det benyttet vi følgende fire utsagn, som ble presentert både i 2000 og i 2004:

    I hvilken grad passer følgende utsagn om ditt kollegiale miljø? (Ta utgangspunkt i din hovedstilling.)

    • Den som kritiserer, risikerer sanksjoner fra avdelingsledelsen.

    • Den som kritiserer sykehuset, risikerer sanksjoner fra den administrative ledelsen.

    • Den som kritiserer, utsetter seg for en stor personlig belastning.

    • Den som kritiserer, kan risikere å måtte skifte arbeidsplass.

    Svaralternativene var «passer godt», «passer middels», «passer dårlig», «passer ikke» og «uaktuelt». Hvis vi gir de fire svaralternativene tallverdier fra 1 (passer godt) til 4 (passer ikke), representerer en høy verdi et arbeidsmiljø der det er lett å komme med kritikk. Hvis gjennomsnittsverdien på hvert utsagn er lavere i 2004 enn i 2000, betyr det en negativ tendens når det gjelder åpenhet, altså at legene mener at den faglige ytringsfriheten er blitt svekket. Endringen fra 2000 til 2004 er testet med paret t-test.

    Ved hjelp av logistisk regresjon analyserte vi hvilke faktorer som var assosiert med legene som hadde mer negativ oppfatning om hvert av de fire utsagnene i 2004 enn i 2000. Kjønn, alder (som kontinuerlig variabel) og fagområde var uavhengige variabler.

    Vi har også med to utsagn som bare ble presentert i 2004:

    • Avstanden fra fagmiljøet til dem som leder og styrer er større nå enn før sykehusreformen.

    • Lojalitetskravet i helseforetakene/kommunene er en trussel mot den faglige ytringsfriheten.

    Svaralternativene var «ja», «nei» og «vet ikke».

    Vi grupperte de medisinske spesialitetene i seks fagområder på følgende måte: allmennmedisin, laboratoriemedisin (inkluderer radiologi og patologi), indremedisinske fag (alle grenspesialiteter samt bl.a. pediatri, nevrologi og onkologi), kirurgiske fag (inkluderer også anestesiolog og gynekologi), psykiatri og samfunnsmedisin. Leger i spesialisering er kategorisert i henhold til sin fremtidige spesialitet.

    Resultater

    Resultater

    Antallet respondenter i 2000 var 1 318, dvs. en svarandel på 82 % (1 318/1 616). I 2004 var det 1 005 som svarte, dvs. en svarandel på 67 % (1 005/1 497). 897 leger svarte både i 2000 og i 2004. I tabell 1 er respondentene sammenliknet med alle yrkesaktive leger i 2004.

    Tabell 1

    Våre respondenter sammenliknet med alle yrkesaktive leger i 2004. Legene i andre og tredje kolonne er i stor grad de samme, målt med fire års mellomrom

    Respondenter i 2000

    Respondenter i 2004

    Yrkesaktive norske leger i 2004(N = 17 572)

    (N = 1 318) med 95 % KI

    (N = 986)¹ med 95 % KI

    Kvinner (%)

    32 (30 – 35)

    33 (30 – 36)

    35

    Alder (år) (gjennomsnitt)

    46 (45 – 47)

    49 (48 – 50)

    48

     Kvinner

    42 (41 – 43)

    45 (44 – 46)

    42

     Menn

    48 (47 – 49)

    51 (50 – 52)

    51

    Sykehusleger

     Overleger (%)

    21 (19 – 23)

    32 (29 – 35)

    30

     Leger i spesialisering (tidligere  «assistentleger») (%)

    24 (22 – 26)

    5 (13 – 17)

    20

    Allmennleger (%)

    21 (19 – 23)

    29 (26 – 32)

    24

    Andre (%)

    34 (32 – 37)

    24 (22 – 27)

    26

    [i]

    [i] ¹  19 leger oppga ikke jobbsituasjon

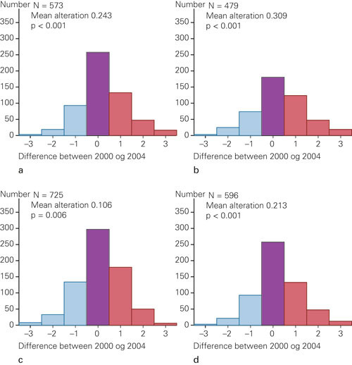
    På alle spørsmålene var det en økning i andelen som syntes det var vanskelig å si ifra og en tilsvarende nedgang i andelen som ikke fant dette vanskelig (tab 2). For alle utsagnene er det en statistisk signifikant endring i retning av mindre åpenhet, spesielt gjelder dette utsagnet «Den som kritiserer sykehuset, risikerer sanksjoner fra den administrative ledelsen» (fig 1).

    Tabell 2

    Prosentandel (med 95 % KI) i 2000 og 2004 for svarkategoriene på de fire utsagnene om profesjonell ytringsfrihet. Antall respondenter i parentes. Det varierende antallet skyldes at respondenter som valgte svaralternativet «passer ikke for meg», ikke er med i tabellen. I denne tabellen er alle respondentene med, ikke bare de som svarte både i 2000 og i 2004. De andelene der det var signifikante endringer (ikke overlappende konfidensintervaller), er uthevet med kursiv

    Passer godt

    Passer middels

    Passer dårlig

    Passer ikke

    Den som kritiserer, risikerer sanksjoner fra avdelingsledelsen

    2000 (951)

    3,7 (2,6 – 5,1)

    10,9 (9,1 – 13,1)

    33,6 (30,7 – 36,8)

    51,7 (48,5 – 55,0)

    2004 (725)

    10,9 (8,8 – 13,4)

    12,7 (10,4 – 15,4)

    32,8 (29,4 – 36,4)

    43,6 (40,0 – 47,3)

    Den som kritiserer sykehuset, risikerer sanksjoner fra den administrative ledelsen

    2000 (798)

    12,7 (10,5 – 15,2)

    23,8 (20,9 – 27,0)

    31,7 (28,5 – 35,1)

    31,8 (28,6 – 35,2)

    2004 (621)

    21,7 (18,6 – 25,2)

    27,7 (24,2 – 31,4)

    29,1 (25,6 – 32,9)

    21,4 (18,3 – 24,9)

    Den som kritiserer, utsetter seg for en stor personlig belastning

    2000 (1 124)

    23,4 (21,0 – 26,0)

    37,9 (35,1 – 40,8)

    23,5 (21,1 – 26,1)

    15,2 (13,2 – 17,5)

    2004 (854)

    30,2 (27,1 – 33,4)

    37,9 (34,7 – 41,3)

    20,0 (17,4 – 22,9)

    11,8 (9,8 – 14,2)

    Den som kritiserer, kan risikere å måtte skifte arbeidsplass

    2000 (997)

    6,4 (5,0 – 8,2)

    12,8 (10,9 – 15,1)

    33,5 (30,6 – 36,5)

    47,2 (44,1 – 50,4)

    2004 (739)

    11,8 (9,6 – 14,4)

    17,1 (14,4 – 20,0)

    32,9 (29,5 – 36,4)

    38,3 (34,8 – 41,9)

    Endring i negativ retning var uavhengig av kjønn og ubetydelig assosiert med fagområde (data ikke vist). Yngre leger hadde i større grad endret syn i negativ retning fra 2000 til 2004. Dette gjaldt særlig utsagnet om at den som kritiserer, risikerer sanksjoner fra den administrative ledelsen.

    75 % (95 % KI 68 – 80 %) av kirurgene, 69 % (95 % KI 60 – 76 %) av psykiaterne og 44 % (95 % KI 38 – 59 %) av allmennlegene mente at avstanden til dem som leder og styrer var blitt større etter sykehusreformen. Samlet mente 62 % av legene at lojalitetskravet i helseforetakene/kommunene er en trussel mot den faglige ytringsfriheten. Her var det også en viss variasjon mellom faggruppene, som spente fra 49 % (95 % KI 33 – 65 %) av samfunnsmedisinerne til 70 % (95 % KI 63 – 76 %) av kirurgene.

    Diskusjon

    Diskusjon

    Styrken ved denne undersøkelsen er den prospektive designen – at vi har data fra de samme legene på to forskjellige tidspunkter. Vi har ikke data til å kontrollere for eventuelt jobbskifte i den aktuelle perioden, verken skifte av jobb innen et helseforetak eller flytting til et annet. Det er altså ikke sikkert at det arbeidsmiljøet som ble evaluert i 2000 er det samme som det som ble evaluert i 2004. Men dersom skifte av arbeidssted var motivert ut fra mangelen på profesjonell ytringsfrihet, burde det gi økt følelse av frihet og altså virke mot den tendensen vi finner.

    Undersøkelsen dreier seg om legenes oppfatning av hvor lett eller vanskelig det er å komme med kritiske synspunkter på «systemet». Vi benytter den litt vage betegnelsen «kritisere». Dette kan selvsagt bety alt fra å ta opp i miljøet en sak som man mener bør håndteres, eller burde ha vært håndtert, på en bedre måte til å kritisere helsetjenesten gjennom massemediene. En tidligere studie har vist at halvparten av norske leger mener det er vanskelig å påtale uetisk og faglig klanderverdig praksis i arbeidsmiljøet (2). Det synes altså ikke bare å være slik at legene er engstelige for sine overordnede, men at de også i stor grad finner kollegial kritikk problematisk. Etter vårt syn er det viktig å skille mellom varsling og kritikk. Varsling oppstår først når kritikk virkelig blir oversett eller undertrykt eller når den som kritiserer blir motarbeidet. Varsling er bl.a. definert som «et forsøk, i god tro og i fellesskapets interesse, på å vise eller løse på en rimelig og ikke irriterende måte, men med betydelig motstand, en alvorlig svikt i helsetjenestens kvalitet eller sikkerhet» (vår oversettelse) (3). Et arbeidsmiljø med liten aksept for kritikk vil kunne undertrykke signaler som er nødvendige for et godt forbedringsarbeid og slik true pasientsikkerhet og etisk refleksjon. Et arbeidsmiljø der man er fiendtlig innstilt til nødvendig kritikk vil også i større grad, ifølge denne definisjonen, gjøre varslere av dem som ellers ville blitt oppfattet som konstruktive kritikere. En slik kultur vil lettere gjøre gode kolleger som er opptatt av kvalitet og etikk til ufrivillige varslere.

    Det at eldre leger i mindre grad enn yngre frykter sanksjoner ved å si ifra om utilfredsstillende forhold, skyldes nok ikke bare at de er mer hardhudede. Kanskje er det fordi de har lengre erfaring med helsebyråkrati og stadig nye direktører? Vi finner at særlig psykiatere og leger som arbeider innen kirurgiske fagområder ser kravene til lojalitet overfor ledelsen som en trussel mot den profesjonelle ytringsfriheten. Psykiatrien har i mange år slitt med økte krav og sviktende ressurser. Mange psykiatriledere strever daglig med suboptimale tilbud, noe som av og til kommer til syne i massemediene (4, 5).

    Vi kan selvsagt ikke påvise at sykehusreformen alene har forårsaket et dårligere tillitsforhold mellom leger og administratorer – dette er en internasjonal tendens (6). Omdanningen av sykehusene fra monolittiske, legestyrte organisasjoner til moderne kommersielle foretak startet lenge før 2000 (7). Suksesskriteriene for slike omorganiseringer er bedre budsjettstyring, kortere ventelister og færre korridorpasienter – dvs. effektivitetsmål – opprettholdelse og eventuell forbedring av faglig og etisk standard synes å komme i annen rekke (8). Dette alene er en viktig forklaring på hvorfor fagfolk kan hevde at avstanden mellom klinisk personale og ledelse har økt.

    Undersøkelsen sier ingen ting om i hvilken grad legenes oppfatning av den risiko de opplever knyttet til den faglige ytringsfriheten er reell. Ofte vil leger motsette seg endringer, også endringer som i ettertid har vist seg å være hensiktsmessige. Når viktige avgjørelser tas av ledere uten medisinsk kompetanse, kan dette selvsagt skape frustrasjon, selv om det er gode grunner til å hevde at også leger må respektere administrative eller politiske avgjørelser som ikke alltid er populære, f.eks. i prioriteringsarbeidet. Her blir det viktig å skille mellom nødvendig politisk styring og lojalitetskrav som kan true pasientsikkerheten og faglig og etisk standard (3, 9). Men administrative ledere er avhengige av god kommunikasjon med kliniske ledere. Det at flere klinikere nå tror at kritiske kommentarer vil kunne føre til sanksjoner, er bekymringsfullt – med tanke på både pasientene og profesjonen. Selv om våre funn kan møtes med at de ikke påviser reelle problemer, bare legenes oppfatning av situasjonen, bør ledere i helsetjenesten ta disse signalene alvorlig og oppmuntre til en åpen og kontinuerlig dialog omkring vanskelige etiske og medisinske spørsmål – en dialog der det også er rom for kritikk. Og legene selv bør arbeide aktivt for å bryte ned forestillingen om at en kultur som åpner opp for kritikk, er en ukollegial kultur (10).

    Oppgitte interessekonflikter:

    Ingen

    Kommentarer  ( 0 )
    PDF
    Skriv ut

    Anbefalte artikler