Background
. Surgery, chemotherapy and radiation, but also long-term hormonal treatment may cause reduced gonadal function in male cancer patients. The germinal epithelium is more vulnerable to cytotoxic damage than the Leydig cells, which implies that subfertility/infertility is a more frequent side effect of cancer treatment than endocrine hypogonadism.
Material and methods.
This review article is based on clinical experience and literature retrieved from PubMed.
Results and interpretation.
The degree of gonadal damage depends on the type of chemotherapy and the cumulative dose; with alkylating substances and procarbazine being the most gonadotoxic agents. The testicle is one of the most radiosensitive organs, and the damage depends on the radiation dose. Testicle damage may be caused by direct radiation of the testicles or scattered radiation from radiated adjacent tissue. Freezing of semen should be discussed with and offered to all men below 55 years that are about to undergo cancer treatment that may cause reduced fertility. Men surviving cancer who experience unwanted childlessness should be offered examination, advice and possibly assisted fertilization as part of the rehabilitation. Especially after intensive chemotherapy and high dose cranial radiation therapy the patient should be examined regularly throughout life with respect to premature endocrine hypogonadism.
De fleste unge pasienter med nyoppdaget kreft er opptatt av sin fremtidige gonadale funksjon og mulighetene for å få barn etter behandling. Ikke bare kirurgi, kjemoterapi og strålebehandling, men også langvarig hormonbehandling, kan medføre redusert gonadal funksjon hos mannlige kreftpasienter, slik som redusert spermatogenese, redusert testosteronproduksjon eller forstyrret ejakulasjon eller erektil funksjon. Fertiliteten trues både ved primær og sekundær hypogonadisme. Ved primær hypogonadisme er funksjonsforstyrrelsen lokalisert i en eller begge testikler. Ved sekundær hypogonadisme er affeksjonen lokalisert i hypothalamus eller hypofysen. I tillegg til tilfredsstillende gonadefunksjon, forutsetter befruktning uten assistanse at både ereksjon og ejakulasjon er intakt.
Testiklenes eksokrine funksjon
Sædceller produseres i en kontinuerlig modningsprosess fra spermatogoniene i testiklenes germinalepitel. Denne modningsprosessen tar om lag 70 dager. Cellene er i rask deling og er svært sensitive for både kjemoterapi og stråledoser. Spermatogenesen er avhengig av hypofysær FSH (follikkelstimulerende hormon), testosteron og en adekvat funksjon av sertolicellene. Under spermatogenesen produseres inhibin B fra sertolicellene, som via en feedbackmekanisme reduserer FSH-produksjonen. Spermatogenesen evalueres ved en sædanalyse, eventuelt ved en testisbiopsi. Forhøyet FSH tyder på en forstyrret spermatogenese (fig 1).
Testiklenes endokrine funksjon
Testosteron produseres i testiklenes leydigceller, som stimuleres av LH (luteiniserende hormon) fra hypofysen, som igjen er avhengig av GnRH (gonadotropinfrigjørende hormon) fra hypothalamus.
Testosteronnivået i blodet er høyest om morgenen. I plasma er en del av testosteronet bundet til kjønnshormonbindende globulin (SHBG) og andre proteiner, og bare en liten del sirkulerer fritt. Det er den frie komponenten som er aktiv, men som også er vanskelig å bestemme.
Hos den enkelte pasient vurderes gonadefunksjonen i første omgang ut fra en blodprøve, helst tatt før kl 10 om morgenen, for konsentrasjonsbestemmelse av LH, FSH, testosteron og SHBG. Ved sammenlikning av resultater fra forskjellige laboratorier bør man være oppmerksom på at normalverdiene for disse hormonprøvene er avhengig av analysemetodene. Det henvises til referanseområdene for hormonanalyser ved det enkelte laboratorium.
Lavt testosteronnivå kan være en følge av skade på leydigcellene etter kjemoterapi eller strålebehandling mot testiklene eller omliggende vev, eller som følge av redusert/manglende LH-produksjon etter kranial bestråling. Leydigcellene er mindre sensitive for kjemoterapi og stråler enn germinalcellene.
Ereksjon og ejakulasjon
Normal mannlig seksualfunksjon forutsetter bevart libido, samt normal ereksjon og ejakulasjon, som reguleres av det autonome nervesystem. Erektil dysfunksjon kan oppstå ved manglende blodtilstrømning til penis og/eller bortfall av nervestimulasjonen etter for eksempel pelvin kirurgi (prostatektomi, rectumkirurgi), ved høydose pelvin strålebehandling og/eller stenoserende prosesser i arteriene (arteriosklerose). Ejakulasjonen reguleres av sympatikusnerver utgående fra L1-L2 og er ofte forstyrret etter radikal retroperitoneal lymfeknutedisseksjon (RPLND) med manglende antegrad ejakulasjon som følge (1).
Materiale og metode
Data til denne oversiktsartikkelen ble funnet ved ikke-systematiske søk i PubMed, med søkeordene: «male infertility», «male hypogonadism», «cancer survivors», «de ulike diagnosene», «radiotherapy», «chemotherapy». Klinisk relevante artikler ble valgt ut med vekt på arbeider representative for norske og skandinaviske forhold. I tillegg har vi funnet artikler fra litteraturlistene til de artiklene som primært var plukket ut. Det er også inkludert viktige momenter fra våre erfaringer fra klinisk arbeid innenfor dette feltet.
Gonadal funksjon og malign sykdom
For enkelte krefttyper synes det å være en etiologisk assosiasjon mellom selve kreftsykdommen og redusert gonadal funksjon. Dette gjelder i stor grad for testikkelkreft. Omtrent halvparten av pasientene med testikkelkreft har redusert spermatogenese etter orkiektomi, før annen behandling er igangsatt (2, 3). I en dansk kohortstudie ble fertilitetsraten blant danske menn født i perioden 1945 – 80 med senere diagnostisert testikkelkreft (N = 3530) sammenliknet med fertilitetsraten blant alle danske menn født i samme tidsperiode (N = 1 488 957). Mennene som utviklet testikkelkreft hadde statistisk signifikant lavere fertilitetsrate før diagnosen testikkelkreft ble stilt, sammenliknet med kontrollgruppen (ratio 0,93 (95 % KI 0,89 – 0,97)) (4). En anerkjent hypotese går ut på at redusert sædkvalitet, kryptorkisme, hypospadi og testikkelkreft, som samlet betegnes testikulært dysgenesisyndrom (TDS), har felles etiologi, og at grunnlaget legges i fosterlivet (5). Enkelte studier har også vist redusert sædkvalitet hos opptil 45 – 70 % av pasientene før behandling for Hodgkins lymfom (6) – (8). Patogenesen bak dette er ikke kjent. I tillegg kan den maligne prosessen i seg selv påvirke den gonadale funksjonen: Choriongonadotropin (hCG) produsert i maligne celler ved testikkelkreft stimulerer til økt produksjon av testosteron og østrogen.
Gonadal funksjon etter kreftbehandling
Både kjemoterapi og strålebehandling kan gi skader i testiklene. Siden germinalepitelet er mer utsatt for cytotoksisk skade enn leydigcellene, er infertilitet en hyppigere bivirkning av kreftbehandling enn endokrin hypogonadisme. Redusert spermatogenese (redusert spermiekonsentrasjon, redusert spermiemotilitet eller økt antall spermier med abnormal morfologi) ved primær hypogonadisme reflekteres ved økt FSH-konsentrasjon og lave nivåer av inhibin B.
Farskap etter behandling for kreft avhenger av mange faktorer: tumoraktivitet, pasientens alder og ønske om å få barn, type gjennomgått terapi, tid siden kreftdiagnosen, antall barn før behandling og eventuelle gynekologiske problemer hos partneren. Bare få av disse er vitenskapelig undersøkt. Populasjonsbaserte angivelser på fertilitet (= farskap) før og etter en kreftbehandling er meget sparsomme. Norske studier har vist at 39 % og 45 % av menn behandlet for henholdsvis testikkelkreft og Hodgkins lymfom rapporterer at de har prøvd å få barn etter behandling, etter median observasjonstid på 11 og 15 år (9, 10).
I en studie fant man at ti år etter diagnosen var sannsynligheten for å ha blitt biologisk forelder cirka 25 % hos mannlige kreftpasienter behandlet ved Radiumhospitalet i alderen 15 – 45 år ved diagnose (11).
Kjemoterapi
Graden av gonadeskaden avhenger av type kjemoterapi og kumulativ dose (tab 1). Alkylerende stoffer (cyklofosfamid, ifosfamid, busulfan, melfalan, klorambucil) og prokarbazin er de mest gonadotoksiske cytostatika (12). Varig opphevet spermatogenese har vært sett hos 90 % av pasientene etter behandling med MVPP (mustin, vinkristin, prokarbazin, prednisolon) og liknende kurer for Hodgkins lymfom (13) – (15). Dette kan resultere i forhøyede LH-verdier som tegn på skade av leydigcellene hos en del av pasientene (16). Til sammenlikning blir mindre enn 10 % av pasientene permanent infertile etter behandling med ABVD (doksorubicin, bleomycin, vinblastin, dakarbazin) og liknende regimer (15, 17). I en nylig publisert studie ble det funnet forhøyet FSH-nivå hos 35 % av menn behandlet for Hodgkins lymfom (N = 355), med større sannsynlighet for vedvarende forhøyet FSH-nivå ved gjennomgått behandling med alkylerende stoffer, alder over 50 år ved behandlingsstart og stadium II (18). Etter CHOP-kjemoterapi (cyklofosfamid, doksorubicin, vinkristin, prednisolon) gitt ved non-Hodgkins lymfom restitueres spermatogenesen hos to tredeler av mennene (19).
Tabell 1
Forventet gonadal toksisitet relatert til diagnose og type kjemoterapikur
| Diagnose | Forventet gonadal toksisitet | ||
| Lav | Middels | Høy | |
| Hodgkins lymfom | ABVD¹ EBVP² | LVPP/MVPP³ ≤ 4 kurer | LVPP/MVPP³ > 4 kurer |
| Non-Hodgkins lymfom | CHOP⁴ | ||
| Testikkelkreft | BEP⁵ | ||
| Alle | HMAS⁶ | ||
| [i] | |||
[i] ¹ Doksorubicin, bleomycin, vinblastin, dakarbazin
² Epirubicin, bleomycin, vinblastin, prednison
³ Klorambucil, vinkristin, prokarbazin, prednisolon/mustin, vinkristin, prokarbazin, prednisolon
⁴ Cyklofosfamid, doksorubicin, vinkristin, prednisolon
⁵ Bleomycin, etoposid, cisplatin
⁶ Høydose kjemoterapi med perifer stamcellestøtte
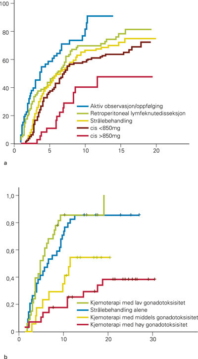
Norske data for Hodgkins lymfom har vist at ved ti års observasjonstid hadde 56 % av mennene som hadde prøvd å få barn etter behandling, oppnådd dette uten bruk av assistert befruktning (10). Menn diagnostisert etter 1989 hadde en statistisk signifikant økt sannsynlighet for å få barn sammenliknet med dem som fikk diagnosen stilt før 1989. Dette reflekterer sannsynligvis de endringene som ble gjort i behandlingen av Hodgkins lymfom fra midten av 1980-årene med mindre gonadotoksisk kjemoterapi kombinert med innskrenkning av strålefeltene (fig 2). Tilsvarende funn er også sett etter behandling for testikkelkreft. Man må regne med varig azoospermi etter høydose kjemoterapi for maligne lymfomer og sarkomer selv om det finnes enkelte eksempler på gjenopptatt spermatogenese og oppnådd spontant farskap også i denne behandlingsgruppen.
Etter dagens standardbehandling for testikkelkreft kan gjenopptatt spermatogenese forventes hos opptil 80 % av pasientene fem år etter behandling (3). Brydøy og medarbeidere fant en sannsynlighet for å oppnå farskap 15 år etter behandling for testikkelkreft på 71 %, blant 554 menn som rapporterte at de hadde prøvd å få barn etter behandling (9).
Strålebehandling
Testiklene er et av de mest strålefølsomme organene. På samme måte som ved behandling med kjemoterapi, er skaden på gonadene ved strålebehandling doseavhengig. Skade på testiklene kan skyldes enten direkte stråling av testiklene eller spredt stråling under strålebehandling mot nærliggende vev/organer. Stråledoser opptil 1 Gy til testiklene fører vanligvis til reversibel oligo- eller azoospermi med gjenopptatt spermiekonsentrasjon etter 9 – 18 måneder, mens det tar omtrent 30 måneder ved stråledose 2 – 3 Gy og fem år eller mer for stråledoser 4 – 6 Gy (20). Stråledoser over 6 Gy medfører som regel irreversibel azoospermi.
Strålebehandling av iliakalregionen, tidligere brukt til behandling ved testikkelkreft, medførte stråledoser til testiklene på nivå 0,32 Gy. Etter begrensing av strålefeltet til de paraaortale lymfeknuter ble stråledosen til testiklene redusert til 0,09 Gy (21). Strålebehandling med omvendt Y-felt tidligere brukt ved Hodgkins lymfom, resulterte i gonadedoser på 1,5 – 2 Gy, redusert til 0,6 – 0,9 Gy ved bruk av gonadeskjerming (V. Jetne, Radiumhospitalet, upubliserte data, 1974).
Strålebehandlingens effekt på gonadefunksjonen kan også være av betydning for menn i eldre aldersgrupper, med diagnoser som prostata-, blære- eller rectumcancer. Strålebehandling er en viktig behandlingsmodalitet ved disse kreftformene og kan medføre stråledoser (i form av spredt stråling) til gonadene på 0,4 – 18,7 % av måldosen (22, 23). Dueland og medarbeidere fant reduksjon i testosteronnivået med samtidig konsentrasjonsøkning av LH / FSH etter strålebehandling for rectumcancer (46 – 50 Gy) (n = 25) (24). 35 % av pasientene hadde testosteronnivå lavere enn referanseverdien ved avslutning av strålebehandlingen. Imidlertid var siste blodprøve tatt 4 – 6 uker etter avsluttet strålebehandling, og denne studien sier ikke noe om disse forandringene persisterer over lengre tid. Tilsvarende hormonforandringer er blitt funnet etter kurativ strålebehandling for prostatacancer (25).
Kirurgi
Kirurgi som affiserer gonadene, penis eller innervasjonen og blodtilførselen til disse organer, kan medføre redusert evne til å få barn. Tidligere opplevde omtrent 90 % av pasientene tap av antegrad ejakulasjon etter radikal retroperitoneal lymfeknutedisseksjon som ledd i behandling for testikkelkreft. På begynnelsen av 1990-tallet gikk man over til nervesparende radikal retroperitoneal lymfeknutedisseksjon som førte til preservering av antegrad ejakulasjon hos majoriteten av pasientene (26).
Langtidsfølger av langvarig endokrin hypogonadisme
Langvarig endokrin hypogonadisme (lavt testosteronnivå/høyt LH-nivå) er ikke sjelden assosiert med kliniske symptomer som redusert energi, muskelsvakhet, depresjon, utilfredsstillende seksualitet og prematur osteoporose (27) – (29). I tillegg har hypogonadale kreftoverlevende menn økt risiko for å utvikle komponenter av metabolsk syndrom (hypertoni, hyperlipidemi, insulinhyposensitivitet, overvekt) (30, 31), slik at de utvikler aldringsrelaterte problemer prematurt.
Forebygging av gonadal skade før kreftbehandling
For en ung kreftpasient er det av stor psykologisk betydning at han etter screeningsundersøkelse av serum med henblikk på gonadal funksjon og eventuelt sædanalyse blir orientert om risikoer som truer hans gonadale funksjon på grunn av kreftsykdommen og/eller behandlingen, og at det diskuteres eventuelle tiltak. Det er en selvfølge at pasientansvarlig lege avtaler med pasienten den mest gonade- og fertilitetssparende behandling uten at sannsynligheten for helbredelse reduseres (nervesparende og testiskonserverende kirurgi, gonadeskjerming under strålebehandling og minimalt gonadotoksiske cytostatika). Pasienten bør få tilbud om sædnedfrysing. Nedfrysing av testisbiopsier med planlagt autografting etter opptining er imidlertid fortsatt på et eksperimentelt stadium og tilbys ikke i Norge. Det finnes i dag ingen effektiv medikamentell behandling som reduserer faren for mannlig gonadal skade indusert ved cytotoksisk behandling.
Oppfølging av gonadal skade etter kreftbehandling
Særlig etter intensiv kjemoterapi og høydose kranial strålebehandling bør pasienten livet ut undersøkes regelmessig med henblikk på prematur endokrin hypogonadisme. Imidlertid kjenner man ikke til noen medikamenter som øker testosteronproduksjonen eller spermatogenesen ved primær hypogonadisme. Substitusjonsbehandling med testosteron bør vurderes igangsatt ved eksisterende kliniske symptomer og/eller gjentatte testosteronverdier under nedre grense for normalområdet, noe avhengig av pasientens alder. Dette på grunn av relasjonen mellom mannlig hypogonadisme og utvikling av komponenter av metabolsk syndrom (27, 28, 31).
Ved ufrivillig infertilitet bør årsaken kartlegges før eventuelt assistert befruktning. Ved tilstander som hindrer sædtransport, kan spermier fremskaffes under behandling med alfablokkere, ved elektroejakulasjon eller sentrifugering av postmasturbasjonsurin. En mulighet er også å aspirere sædcellene fra testiklene eller bitestiklene til bruk ved assistert befruktning.
Så langt er det ingen holdepunkter for økt misdannelsesrate hos barn av fedre som har fått cytotoksisk behandling (11, 32).
Assistert befruktning
I Norge har det vært og er en restriktiv lovgivning når det gjelder assistert befruktning i forhold til i andre vestlige land. I 1980 ble Norges første sædbank etablert ved Regionsykehuset i Trondheim, og fra dette året har mannlige kreftpasienter hatt muligheten til langtidslagring av sæd før oppstart av behandling. Rikshospitalet etablerte sædbank i 1995 (fig 3). Tidlig på 1980-tallet ble assistert befruktning utført som intrauterin inseminasjon. In vitro-fertilisering (IVF) har vært utført siden 1988, mens intracytoplasmatisk spermieinjeksjon (ICSI) har vært tilgjengelig siden 1995. I de senere år er det blitt mulig å få utført ekstraksjon eller aspirasjon av sædceller fra testiklene eller bitestiklene. I tillegg er bruk av donorsæd en mulighet. Både utenlandske og norske studier har vist at kun en liten andel mannlige kreftpasienter bruker sin kryopreserverte sæd lagret før oppstart av kreftbehandling til å oppnå farskap etter avsluttet behandling (10, 33) – (35). I Norge praktiseres det en øvre grense på 55 år for nedfrysning av sæd før igangsettelse av kreftbehandling. Unntak vurderes i enkelttilfeller.
Konklusjon
Ved større pelvoabdominale kirurgiske inngrep og cytotoksisk kreftbehandling bør pasientansvarlig lege sammen med pasienten vurdere risiko for gonadal skade og ufrivillig infertilitet. Sædnedfrysing bør diskuteres og tilbys alle menn under 55 år, som ser for seg ønske om farskap etter kreftbehandlingen. Etter intensiv cytotoksisk kreftbehandling bør pasienten kontrolleres livet ut med henblikk på endokrin hypogonadisme. Ufrivillig barnløse kreftoverlevende menn bør, som ledd i rehabiliteringen, tilbys utredning, rådgivning og eventuelt assistert befruktning.
Oppgitte interessekonflikter: Ingen
Tabell
| Hovedbudskap |
|
- 1.
Hartmann JT, Albrecht C, Schmoll HJ et al. Long-term effects on sexual function and fertility after treatment of testicular cancer. Br J Cancer 1999; 80: 801 – 7.
- 2.
Fossa SD, Abyholm T, Aakvaag A. Spermatogenesis and hormonal status after orchiectomy for cancer and before supplementary treatment. Eur Urol 1984; 10: 173 – 7.
- 3.
Lampe H, Horwich A, Norman A et al. Fertility after chemotherapy for testicular germ cell cancers. J Clin Oncol 1997; 15: 1239 – 45.
- 4.
Jacobsen R, Bostofte E, Engholm G et al. Fertility and offspring sex ratio of men who develop testicular cancer: a record linkage study. Hum Reprod 2000; 15: 1958 – 61.
- 5.
Skakkebaek NE, Rajpert-De Meyts E, Main KM. Testicular dysgenesis syndrome: an increasingly common developmental disorder with environmental aspects. Hum Reprod 2001; 16: 972 – 8.
- 6.
Fitoussi, Eghbali H, Tchen N et al. Semen analysis and cryoconservation before treatment in Hodgkin’s disease. Ann Oncol 2000; 11: 679 – 84.
- 7.
Rueffer U, Breuer K, Josting A et al. Male gonadal dysfunction in patients with Hodgkin’s disease prior to treatment. Ann Oncol 2001; 12: 1307 – 11.
- 8.
Viviani S, Ragni G, Santoro A et al. Testicular dysfunction in Hodgkin’s disease before and after treatment. Eur J Cancer 1991; 27: 1389 – 92.
- 9.
Brydøy M, Fossa SD, Klepp O et al. Paternity following treatment for testicular cancer. J Natl Cancer Inst 2005; 97: 1580 – 8.
- 10.
Kiserud CE, Fossa A, Holte H et al. Post-treatment parenthood in Hodgkin’s lymphoma survivors. Br J Cancer 2007; 96: 1442 – 9.
- 11.
Fossa SD, Magelssen H, Melve K et al. Parenthood in survivors after adulthood cancer and perinatal health in their offspring: a preliminary report. J Natl Cancer Inst 2005; 34: 77 – 82.
- 12.
Lee SJ, Schover LR, Partridge AH et al. American Society of Clinical Oncology recommendations on fertility preservation in cancer patients. J Clin Oncol 2006; 24: 2917 – 31.
- 13.
Clark ST, Radford JA, Crowther D et al. Gonadal function following chemotherapy for Hodgkin’s disease: a comparative study of MVPP and a seven-drug hybrid regimen. J Clin Oncol 1995; 13: 134 – 9.
- 14.
Tal R, Botchan A, Hauser R et al. Follow-up of sperm concentration and motility in patients with lymphoma. Hum Reprod 2000; 15: 1985 – 8.
- 15.
Viviani S, Santoro A, Ragni G et al. Gonadal toxicity after combination chemotherapy for Hodgkin’s disease. Comparative results of MOPP vs ABVD. Eur J Cancer Clin Oncol 1985; 21: 601 – 5.
- 16.
Howell SJ, Radford JA, Ryder WD et al. Testicular function after cytotoxic chemotherapy: evidence of Leydig cell insufficiency. J Clin Oncol 1999; 17: 1493 – 8.
- 17.
Bonadonna G, Santoro A, Viviani S et al. Gonadal damage in Hodgkin’s disease from cancer chemotherapeutic regimens. Arch Toxicol 1984; 7: 140 – 5.
- 18.
van der Kaaij MAE, Heutte N, Le Stang N et al. Gonadal Function in Males After Chemotherapy for Early-Stage Hodgkin’s Lymphoma Treated in Four Subsequent Trials by the European Organisation for Research and Treatment of Cancer: EORTC Lymphoma Group and the Groupe d’Etude des Lymphomes de l’Adulte. J Clin Oncol 2007; 25: 2825 – 32.
- 19.
Pryzant RM, Meistrich ML, Wilson G et al. Long-term reduction in sperm count after chemotherapy with and without radiation therapy for non-Hodgkin’s lymphomas. J Clin Oncol 1993; 11: 239 – 47.
- 20.
Howell SJ, Shalet SM. Spermatogenesis after cancer treatment: damage and recovery. J Natl Cancer Inst 2005; 34: 12 – 7.
- 21.
Jacobsen KD, Olsen DR, Fossa K et al. External beam abdominal radiotherapy in patients with seminoma stage I: field type, testicular dose, and spermatogenesis. Int J Radiat Oncol Biol Phys 1997; 38: 95 – 102.
- 22.
Budgell GJ, Cowan RA, Hounsell AR. Prediction of Scattered Dose to the Testes in Abdominopelvic Radiotherapy. Clin Oncol 2001; 13: 120 – 5.
- 23.
Hermann RM, Henkel K, Christiansen H et al. Testicular dose and hormonal changes after radiotherapy of rectal cancer. Radiother Oncol 2005; 75: 83 – 8.
- 24.
Dueland S, Guren MG, Olsen DR, et al. Radiation therapy induced changes in male sex hormone levels in rectal cancer patients. Radiother Oncol 2003; 68: 249 – 53.
- 25.
Grigsby PW, Perez CA. The effects of external beam radiotherapy on endocrine function in patients with carcinoma of the prostate. J Urol 1985; 135: 726 – 7.
- 26.
Jacobsen KD, Ous S, Waehre H et al. Ejaculation in testicular cancer patients after post-chemotherapy retroperitoneal lymph node dissection. Br J Cancer 1999; 80: 249 – 55.
- 27.
Greenfield DM, Walters SJ, Coleman RE et al. Prevalence and consequences of androgen deficiency in young male cancer survivors in a controlled cross-sectional study. J Clin Endocrinol Metab 2007; 92: 3476 – 84.
- 28.
Howell SJ, Radford JA, Adams JE et al. The impact of mild Leydig cell dysfunction following cytotoxic chemotherapy on bone mineral density (BMD) and body composition. Clin Endocrinol 2000; 52: 609 – 16.
- 29.
Basaria S, Denis CM, Michael AC et al. Hyperglycemia and insulin resistance in men with prostate carcinoma who receive androgen-deprivation therapy. Cancer 2006; 106: 581 – 8.
- 30.
Braga-Basaria M, Dobs AS, Muller DC et al. Metabolic syndrome in men with prostate cancer undergoing long-term androgen-deprivation therapy. J Clin Oncol 2006; 24: 3979 – 83.
- 31.
Nuver J, Smit AJ, Wolffenbuttel BHR et al. The metabolic syndrome and disturbances in hormone levels in long-term survivors of disseminated testicular cancer. J Clin Oncol 2005; 23: 3718 – 25.
- 32.
Byrne J, Rasmussen SA, Steinhorn SC et al. Genetic disease in offspring of long-term survivors of childhood and adolescent cancer. Am J Hum Genet 1998; 62: 45 – 52.
- 33.
Agarwal A, Ranganathan P, Kattal N et al. Fertility after cancer: a prospective review of assisted reproductive outcome with banked semen specimens. Fertil Steril 2004; 81: 342 – 8.
- 34.
Magelssen H, Haugen TB, von During V et al. Twenty years experience with semen cryopreservation in testicular cancer patients: who needs it? Eur Urol 2005; 48: 779 – 85.
- 35.
Ragni G, Somigliana E, Restelli L et al. Sperm banking and rate of assisted reproduction treatment: insights from a 15-year cryopreservation program for male cancer patients. Cancer 2003; 97: 1624 – 9.