Daptomycin – et nytt antibiotikum mot hud- og bløtdelsinfeksjoner

    ()

    sporsmal_grey_rgb
    Abstract

    Daptomycin er et baktericidvirkende lipopeptidantibiotikum som i februar 2006 ble godkjent for det europeiske markedet, inkludert det norske, for behandling av pasienter med kompliserte hud- og bløtdelsinfeksjoner forårsaket av grampositive bakterier. Midlet gis intravenøst og utskilles vesentlig via nyrene. Ved redusert nyrefunksjon må dosen reduseres. Daptomycin er like effektivt som intravenøst semisyntetisk penicillin eller vankomycin, som i dag er standardbehandling ved kompliserte hud- og bløtdelsinfeksjoner forårsaket av grampositive bakterier. Midlet tolereres vanligvis godt, men bivirkninger fra skjelettmuskulaturen forekommer hyppigere enn ved semisyntetiske penicilliner eller vankomycin. For å hindre resistensutvikling bør daptomycin bare benyttes ved infeksjoner forårsaket av Staphylococcus aureus resistente mot antibiotika som penicilliner og klindamycin.

    Abstract

    Daptomycin (Cubicin) is a bactericidal lipopeptide antibiotic that was approved in February 2006 for the European market, including Norway, for the treatment of patients with complicated skin and soft tissue infections caused by Gram-positive cocci. Daptomycin is administered intravenously and eliminated mainly by the kidneys. Dose reduction is therefore necessary in patients with impaired renal function. The drug is active only against Gram-positive cocci. Daptomycin therapy of patients with complicated skin and soft tissue infections caused by Gram-positive cocci, is as effective as standard therapy with intravenous semi-synthetic penicillin or vancomycin. The agent is usually well tolerated, but side effects in skeletal muscles are more prevalent than with semi-synthetic penicillins or vancomycin. To prevent development of daptomycin resistance, the agent should be reserved for the treatment of patients with infections caused by Staphylococcus aureus that are resistant to antibiotics commonly used for the treatment of skin and soft tissue infections, e.g. penicillins or clindamycin.

    Artikkel

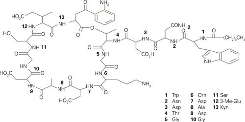
    Daptomycin er et antibakterielt middel som ble godkjent for det europeiske markedet, også det norske, i februar 2006. Midlet er for behandling av kompliserte hud- og bløtdelsinfeksjoner forårsaket av grampositive bakterier, vesentlig Staphylococcus aureus, inkludert meticillinresistente S aureus (MRSA), og gruppe A-streptokokker (Streptococcus pyogenes). Midlet er et syklisk lipopeptid (fig 1) fremstilt ved fermentering av Streptomyces roseosporus.

    Daptomycin ble oppdaget og fremstilt tidlig på 1980-tallet av legemiddelfirmaet Eli Lilly i USA og utprøvd på pasienter med forskjellige infeksjoner, blant andre hud- og bløtdelsinfeksjoner, lungebetennelse, bakteriemi og bakteriell endokarditt. Virkningen var i mange tilfeller god, men medikamentet hadde en del bivirkninger, særlig muskelsmerter og forhøyet kreatininfosfokinasenivå (CPK) i serum, som sannsynligvis var medvirkende til at medikamentet ble lagt til side i 1991. I 1997 overtok imidlertid Cubist Pharmaceuticals lisensrettighetene og fortsatte utprøvingene (1) – (4).

    Farmakokinetikk

    Farmakokinetikk

    Daptomycin må gis intravenøst. Det utskilles vesentlig via nyrene, ved glomerulær filtrasjon. Substansen gjennomgår ingen eller meget beskjeden levermetabolisme, og interaksjoner med medikamenter som metaboliseres i leveren, antas å være minimale (4, 5). Det kan imidlertid være risiko for interaksjoner med legemidler som påvirker nyrefiltrasjonen, for eksempel ikke-steroidale antiinflammatoriske legemidler, inkludert COX 2-hemmere (4).

    Daptomycin har lineær farmakokinetikk, og dosering én gang daglig fører til minimal akkumulering hos pasienter med normal nyrefunksjon (5). Ved betydelig redusert nyrefunksjon må dosene reduseres. Halveringstiden i blodet er 7 – 9 timer. Proteinbindingen er høy, ca. 90 % er bundet til serumalbumin. Bindingen er imidlertid svak, og den baktericide effekten påvirkes bare i mindre grad av albumin (4). Daptomycin går ikke over blod-hjerne-barrieren eller placentabarrieren.

    Antimikrobiell virkning og spektrum

    Antimikrobiell virkning og spektrum

    Daptomycin virker bare på grampositive bakterier. Det har hurtig innsettende baktericid virkning, som antas å skyldes binding til bakterienes cellemembran og skade av membranpotensialet (6), med etterfølgende hemning av DNA- og RNA-syntese og bakteriedød (7).

    Virkningen av daptomycin er særlig dokumentert overfor S aureus. Enterokokker er vanligvis mindre følsomme enn S aureus. Pneumokokker påvirkes in vitro, men hemmende substanser i luftveissekret (surfaktanter) er noe av grunnen til at midlet ikke anbefales til bruk ved luftveisinfeksjoner forårsaket av pneumokokker (8). Det er en viss mulighet for at slike hemmende stoffer også forekommer i andre slimhinnesekreter (tarm, vagina, tårekanal, melkeganger). Denne mulige hemningen er medvirkende til at daptomycin anses som mindre egnet til behandling av smittebærere med meticillinresistente gule stafylokokker. Daptomycin har effekt in vitro overfor en rekke grampositive bakterier (laktobasiller, bifidobakterier, klostridier og andre), men erfaring ved infeksjoner forårsaket av slike bakterier er sparsom eller mangler.

    In vitro-effekten av daptomycin påvirkes av kalsiumkonsentrasjonen i dyrkingsmediet, noe det må tas hensyn til ved resistensundersøkelser. Inntil nærmere avklaring anbefales det at de mikrobiologiske laboratoriene måler minste hemmende konsentrasjon (MIC) ved bruk av spesialmedium (9). Brytningspunkter for stafylokokker og streptokokker er satt til 1 mg/l (med unntak av Streptococcus pneumoniae). Det anses i dag ikke å være tilstrekkelig dokumentasjon for daptomycins virkning overfor Enterococcus faecalis og Enterococcus faecium til å angi brytningspunkter for enterokokker (9), men disse brytningspunktene vil sannsynligvis komme til å være høyere enn 1 mg/l.

    Resistensutvikling er påvist, også ved pågående behandling (10). Fra utlandet er det publisert sammenheng mellom nedsatt følsomhet overfor daptomycin og vankomycin hos S aureus (11).

    Kompliserte hud- og bløtdelsinfeksjoner

    Kompliserte hud- og bløtdelsinfeksjoner

    Daptomycin er godkjent til behandling av pasienter med kompliserte hud- og bløtdelsinfeksjoner forårsaket av grampositive bakterier, dvs. infeksjoner som involverer hud og dypere vev som muskler og fascier, som nødvendiggjør kirurgiske inngrep og/eller som rammer pasienter med underliggende sykdommer, slik som diabetes mellitus, vaskulær insuffisiens eller nedsatt immunforsvar.

    Godkjenningen av daptomycin til behandling av pasienter med slike infeksjoner bygger i det alt vesentlige på to fase 3-multisenterstudier med til sammen over 1 000 pasienter med sårinfeksjoner (traumatiske, postoperative, bitt- og fremmedlegemeinfeksjoner), utbredte abscesser, infeksjoner utgått fra ulcera hos pasienter med diabetes mellitus, vaskulær insuffisiens eller liggesår eller infeksjoner hos immunkompromitterte pasienter (4). Studiene omfatter pasienter i alderen 18 – 85 år med så alvorlige infeksjoner at sykehusinnleggelse og intravenøs antibiotikabehandling ble ansett som nødvendig. I begge studiene ble pasientene randomisert til enten behandling med intravenøst daptomycin (4 mg/kg hver 24. time) eller semisyntetiske penicilliner (kloxacillin, oxacillin, flukloxacillin eller nafcillin) 4 – 12 g daglig eller vankomycin 1 g intravenøst hver 12. time. Analyse av de to studiene samlet viste helbredelse hos 74,5 % i daptomycingruppen og 74,7 % i komparatorgruppen, dvs. ingen signifikant forskjell mellom gruppene. Gruppen som fikk daptomycin, hadde kortere behandlingstid før helbredelse enn sammenlikningsgruppen (gjennomsnittlig behandlingstid sju versus åtte dager, p < 0,05).

    Anbefalt dose av daptomycin er 4 mg/kg intravenøst hver 24. time i 7 – 14 dager. Dosen må reduseres til pasienter med kreatininclearance mindre enn 30 ml/min, inkludert pasienter i hemodialyse eller peritoneal dialyse. Til disse pasientene anbefales 4 mg daptomycin/kg intravenøst hver 48. time.

    Antall pasienter i aldersgruppen 65 år eller eldre i de to fase 3-multisenterstudiene var lavt; vel 100 pasienter i hver gruppe (daptomycin- versus kontrollgruppen). Dokumentasjonen av daptomycinets virkning og sikkerhet i denne aldersgruppen er derfor begrenset og tilsier forsiktighet ved anvendelse av medikamentet til behandling av pasienter 65 år eller eldre. Siden studiene ikke omfatter pasienter under 18 år, bør midlet foreløpig ikke gis til pasienter i denne aldersgruppen.

    Bivirkninger

    Bivirkninger

    Daptomycin tolereres vanligvis godt. Forbigående bivirkninger i form av hodepine, kvalme, brekninger, diaré, obstipasjon og/eller smerter på injeksjonsstedet opptrer hos ca. 5 % av pasienter som behandles med 4 mg daptomycin/kg intravenøst hver 24. time (4).

    De viktigste bivirkningene skyldes imidlertid påvirkning av skjelettmuskulaturen. I de to fase 3-studiene økte konsentrasjonen av kreatininfosfokinase i blodet hos 15 av 534 pasienter (2,8 %) som ble behandlet med daptomycin og hos ti av 558 pasienter (1,8 %) som ble behandlet med semisyntetiske penicilliner eller vankomycin (4). Smerter, kraftløshet og kramper i muskulaturen ble rapportert hos 0,2 – 0,9 % av dem som fikk daptomycin, og hos 0 – 0,4 % av dem som ble behandlet med semisyntetiske penicilliner eller vankomycin. Bivirkningene gikk vanligvis over i løpet av én uke etter avsluttet behandling.

    Daptomycin har vært på markedet i USA siden 2003, og det er rapportert sjeldne tilfeller av rabdomyolyse (4). CPK-konsentrasjonen i blodet begynner vanligvis å stige før symptomene på muskelskade registreres. Derfor er det mulig å påvise muskelbivirkninger tidlig ved gjentatte målinger av CPK-verdiene i blodet, slik at behandlingen kan avbrytes og mer omfattende muskelskade unngås. Skade av hjertemuskulatur og glatt muskulatur er ikke påvist (4).

    Avslutning

    Avslutning

    Den betydelige økningen av antibiotikaresistente bakterier er blitt et stort helseproblem i de fleste land. Dette gjelder også grampositive bakterier som stafylokokker, enterokokker og pneumokokker. Den beskjedne fremstillingen av antibiotika med nye egenskaper de siste 15 – 20 årene har i betydelig grad bidratt til å øke resistensproblemet. Det er derfor gledelig at et nytt antibiotikum med effekt på grampositive bakterier nå er tilgjengelig for behandling av pasienter med kompliserte hud- og bløtdelsinfeksjoner forårsaket av slike bakterier, særlig gule stafylokokker. For å bevare bakterienes følsomhet overfor daptomycin lengst mulig bør medikamentet i størst mulig grad reserveres for behandling av infeksjoner med gule stafylokokker resistente mot antibiotika som vanligvis anvendes ved hud- og bløtdelsinfeksjoner, slik som penicilliner og klindamycin.

    Oppgitte interessekonflikter: Ingen

    Kommentarer  ( 0 )
    PDF
    Skriv ut

    Anbefalte artikler