Background.
Brominated flame retardants are incorporated into an ever-increasing number of ordinary consumer goods, which has lead to pollution of the environment, wildlife, food of animal origin, and human blood, adipose tissue, and mother’s milk. This group of chemicals has a striking structural similarity with the thyroid hormones and may constitute a potential health risk by interfering with thyroid hormone homeostasis.
Material and methods.
We focus on these features and discuss possible clinical consequences, on the basis of Medline searches and our own experience.
Results.
The thyroid hormones are essential for normal brain development. Disruption of the hormonal balance may lead to serious and permanent defects of neurological functioning. Brominated flame retardants may interfere with thyroid synthesis, transport, receptor binding, and elimination. The clinical consequences have so far not been firmly established, but results from animal studies suggest that even subtle disturbances of thyroid homeostasis during pregnancy may have serious implications for the developing brain.
Interpretation.
Numerous scientific reports confirm the neurotoxic potential of these chemicals. The foetus and newborn are especially vulnerable.
Hvert år tar branner livet av omkring 60 mennesker i Norge. Brannvesenet foretar årlig ca. 100 000 utrykninger, og forsikringsselskapene utbetaler erstatninger som nærmer seg 4 milliarder kroner (Direktoratet for samfunnssikkerhet og beredskap). De totale kostnadene er enda høyere, og forebyggende tiltak har derfor hatt høy prioritet. Kjemisk profylakse er én av flere strategier for å minske skadene. Flammehemmende kjemikalier blir i dag inkorporert i et bredt spekter av forbruksvarer, eksempelvis plastprodukter, tekstiler, trevarer, maling, elektriske og elektroniske apparater (fjernsynsapparater, datamaskiner), byggevarer (isolasjon mv.), transportmidler og møbler. Kjemikaliene spres således til alle områder med menneskelig aktivitet. I tillegg foregår fjernspredning gjennom luft til de mest avsidesliggende deler av kloden (1). Her i landet ligger det årlige forbruket av bromerte flammehemmere på i overkant av 300 tonn. Det er bekymringsfullt at økende mengder etter hvert er blitt gjenfunnet i kloakkslam, sedimenter og næringsmidler, i flere dyrearter, samt i blod, fettvev og morsmelk hos mennesker (2). I perioden 1977 – 99 ble serumnivåene av polybromerte difenyletere (PBDE) hos norske kvinner og menn mer enn seksdoblet, spesielt var konsentrasjonene høye hos barn i alderen 0 – 4 år (2). De kliniske konsekvensene er ikke fullstendig klarlagt, men faren for at flere av disse stoffene kan ha et toksisk potensial som likner på PCB og dioksiner, har vakt uro. Evnen til å forstyrre balansen i deler av det endokrine systemet, spesielt thyreoideastoffskiftet, er foruroligende, fordi små forskyvninger i tyroksinnivåene kan være nok til å gi alvorlige utviklingsforstyrrelser i sentralnervesystemet.
Bromerte flammehemmere
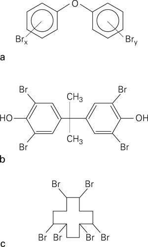
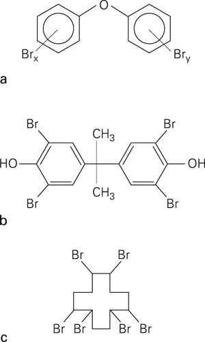
Bromerte flammehemmere er en samlebetegnelse på mer enn 350 ulike kjemiske stoffer med til dels svært forskjellig struktur og fysiokjemiske egenskaper (3). Forbruket har vært konsentrert om et langt mindre antall, i Norge først og fremst polybromerte difenyletere som penta-, okta- og dekabromdifenyleter, tetrabrombisfenol A (TBBPA) og heksabromcyklododekan (HBCD) (fig 1). Flammehemmere blir gjerne betegnet som additive eller reaktive. Additive hemmere (som PBDE) reagerer ikke kjemisk med materialet som skal brannhemmes, og selv ved vanlig bruk vil små mengder gradvis lekke ut til omgivelsene. Reaktive flammehemmere (eksempelvis TBBPA), som reagerer med utgangsmaterialet, vil utgjøre en mindre kilde til forurensning ved normal bruk. Ved produksjon og destruering er imidlertid forurensingspotensialet det samme.
De bromerte flammehemmerne er lipofile og lite vannløselige. De binder seg forholdsvis lett til partikler, er vanskelig nedbrytbare og akkumulerer i miljøet. Strukturelt er likheten med kjente miljøgifter som polyklorerte bifenyler (PCB) og dioksiner påfallende (fig 2).
Kilder
De bromerte flammehemmerne blir først og fremst tilført kroppen gjennom maten, spesielt fødevarer av animalsk opprinnelse. Det er målt til dels høye verdier i fet fisk, men også kjøtt kan være forurenset (4). Fra elektroniske apparater kan det etter langvarig bruk og oppvarming frigjøres godt målbare mengder som når blodbanen etter inhalasjon av forurenset partikkelstøv. Økte blodverdier er registrert hos arbeidstakere i kontorlandskaper og ved avfallsanlegg (5). En tredje inngangsport er hudkontakt med brannhemmede tekstiler. Mest bekymringsfullt er likevel funn av bromerte flammehemmere i morsmelk. Basert på svenske tall er det beregnet at diende spedbarn i gjennomsnitt får i seg 50 – 100 ng PBDE per dag (6). I andre land (Canada, USA) er tallene sannsynligvis betydelig høyere (7).
Virkningsmekanisme for thyreoideahormonene
Thyreoideahormonene blir produsert fra aminosyren tyrosin i skjoldkjertelens follikkelceller. Her dannes mesteparten av det sirkulerende tyroksin, T₄, og 10 – 20 % av det 5 – 6 ganger mer biologisk potente tyronin, T₃ (fig 3). Resten av T₃ blir dannet utenfor thyreoidea (hovedsakelig i lever og nyrer) ved at T₄ monodejoderes ved hjelp av enzymet 5´-dejodase type I. Biotilgjengeligheten blir nøye kontrollert ved at hormonene binder seg til serumproteiner som TBG (tyroksinbindende globulin), transtyretin og albumin. Bare fritt sirkulerende hormon er tilgjengelig for thyreoideareseptorene (TR), som er lokalisert i cellekjernen og fungerer som transkripsjonsfaktorer. Etter binding dimeriserer reseptoren og binder seg til thyreoidearesponselementet (TRE) på DNA, aktiverer det aktuelle gen og utløser produksjon av de effektorproteiner som er ansvarlig for de kliniske virkningene (8).
Interferens mellom thyreoideahormoner og organohalogener
Eksperimentelle studier har vist at en rekke miljøgifter som PCB, DDT, dioksiner og andre påvirker funksjonen i skjoldkjertelen (9, 10). Den strukturelle likheten med thyreoideahormonene er stor (fig 1 – 3), og de kan i ulik grad opptre som hormonhermere. Ofte virker flere mekanismer sammen. Ved å forstyrre strukturen i kjertelen påvirkes funksjonen direkte, og eksempelvis kan evnen til å reagere på thyreoideastimulerende hormon (TSH) bli redusert. Det er videre vist at metabolismen kan påvirkes slik at T₄-glukuronideringen stimuleres og utskillingen av T₄ gjennom gallen øker. Dermed faller T₄-nivåene i serum. Flere organohalogener konkurrerer også om bindingssetene både på reseptorer og transportproteiner, slik som transtyretin. Transtyretin er viktig i fosterstadiet for transport av T₄ fra mor til foster og over blod-hjerne-barrieren (11). Enkelte metabolitter av TBBPA binder seg til transtyretin med opptil ti ganger høyere affinitet enn T₄ (12). En rekke hydroksylerte metabolitter av PBDE har vist seg å ha de samme egenskaper, med varierende styrke. I tillegg til å forstyrre den normale transporten av T₄ til målcellene er flere av dem også i stand til å binde seg direkte til thyreoideareseptorene og på denne måten påvirke syntesen av effektorproteiner. Det samme gjelder for øvrig også TBBPA.
De toksiske virkningene av bromerte flammehemmere er bare kartlagt i utilstrekkelig omfang. Ettersom de deler en rekke strukturelle egenskaper med PCB og dioksiner, er det ikke usannsynlig at de har en toksikologisk beslektet profil. Man vet at representanter for alle de viktigste gruppene har evnen til å interferere med thyreoideastoffskiftet, det vil si polybromerte difenyletere (13), tetrabrombisfenol A (14) og heksabromcyklododekan (15). For HBCD er tilgjengelige data dog meget begrenset.
Normal thyreoideahormonbalanse og hjernens utvikling
Det er en kvalitativ forskjell mellom det umodne og voksende nervesystemet hos fostre/nyfødte og det tilsvarende hos voksne (16). Små forstyrrelser i thyreoideahormonfunksjonen vil derfor først og fremst ha betydning i fosterstadiet og nyfødtperioden. Maternelle forandringer som ikke gir seg kliniske utslag, kan således føre til skader hos barnet, og skadene er i stor grad permanente. Hjernen utvikler seg kontinuerlig både under svangerskapet og den første tiden etter fødselen. Nyfødte og spedbarn befinner seg fremdeles i risikofasen, og funn av økende mengder toksiner i morsmelk er særlig urovekkende. Ettersom utviklingen av sentralnervesystemet følger et fast tidsskjema, vil de kliniske utslagene generelt være avhengig av det utviklingsvinduet som rammes (9). Eksempelvis vil veksthastigheten i cellene i diencefalon være størst omkring fødselen, mens cerebellum når sitt maksimum ved omkring sju måneders alder.
Tyroksin påvirker de fleste sentrale prosessene i hjernens utvikling. Dette gjelder nevronal proliferasjon, migrasjon, differensiering, synaptogenese, apoptose og myelinisering (17). I første del av svangerskapet er fosteret fullstendig avhengig av tilførsel fra moren (18). Utviklingen av skjoldkjertelen begynner hos mennesket i 3. svangerskapsuke. Produksjonen av thyreoideahormoner er i gang ved 10 – 12 ukers alder, mens målbare konsentrasjoner i amnionvæske er funnet allerede etter åtte uker. Tidligere mente man at fosteret ikke ble påvirket av maternelle hormoner, fordi T₄ ble konvertert til det inaktive revers-T₃ i placenta. Fungerende reseptorer er imidlertid påvist i den føtale hjernen etter ni uker, dvs. før egenproduksjonen av thyreoideahormoner er begynt. Forutsetningene er således til stede for at de fra dette tidspunktet kan aktivere intracellulære signalveier og dermed påvirke utviklingen av hjernen. Tyroksinet omdannes i hjernen til det biologisk aktive T₃ ved hjelp av det hjernespesifikke enzymet type II 5´-dejodase. Etter hvert som fosterets egen syntese stiger, blir hormoner fra moren gradvis mindre viktig, men utgjør selv ved fødselen en betydelig andel.
Kliniske følger
I mer enn 100 år har det vært kjent at jodmangel under svangerskapet kan føre til alvorlig mental retardasjon og unormal utvikling av de fleste organsystemer (kretinisme). Men også milde (subkliniske) former for maternell hypotyreose har vært assosiert med hjerneskade og redusert IQ hos barnet (19). Det er usikkert i hvilken grad miljøgifter som bromerte flammehemmere kan utløse samme effekt, men en rekke studier på forsøksdyr (særlig gnagere) tyder i den retning (20, 21). I voksen alder får disse dyrene en klart avvikende atferd. Blant annet blir de mer urolige, har vanskeligere for å lære og får svekket hukommelse – symptomer som likner på humant AD/HD-syndrom. Disse forandringene opptrer etter doser som er uten påvisbar effekt hos voksne dyr. Imidlertid kan man ikke ukritisk overføre slike resultater til mennesker. For eksempel vil hormonforandringer i fosterstadiet sannsynligvis påvirke utviklingen av sentralnervesystemet i større grad hos gnagere enn hos mennesker. Likevel er det all grunn til å behandle disse stoffene med ytterst stor respekt og snarlig ta i bruk alternativer (22). I tillegg til å interferere med thyreoideastoffskiftet kan de også gi helseskader via en rekke andre mekanismer, for eksempel ved å påvirke andre hormonsystemer, binde seg til arylhydrokarbonreseptorene og stimulere produksjonen av frie oksygenradikaler (15, 23). Selv om penta- og okta-BDE ble forbudt fra 2004, vil tilførselen til omgivelsene fortsette i overskuelig fremtid fra eksisterende forbruksartikler. Dessuten viser det seg at deka-BDE, som fremdeles er i bruk, i naturen kan brytes ned til lavere bromerte forbindelser. Det vil således være et meget langvarig prosjekt å bli kvitt disse kjemikaliene.
Konklusjoner
Opphopningen av bromerte flammehemmere i miljøet gir grunn til uro. Selv om de skulle vise seg å være mindre toksiske enn andre miljøgifter som PCB og dioksiner, blir dette delvis oppveid ved at de opptrer i høyere konsentrasjoner. I fosterstadiet og hos nyfødte vil selv meget små forandringer i thyreoideastoffskiftet være nok til å forstyrre utviklingen av sentralnervesystemet og dermed gi permanente hjerneskader. Dyreforsøk har vist at representanter for flere av disse stoffene, og ganske særlig hydroksylerte metabolitter, kan virke på denne måten via ulike mekanismer.
Manuskriptet ble godkjent 15.9. 2005.
Oppgitte interessekonflikter: Ingen
Bromerte flammehemmere er påvist i økende konsentrasjoner i miljøet, samt i blod og morsmelk hos mennesker
De er kjemisk beslektet med thyreoideahormonene og kan opptre som hormonhermere
Normal thyreoideahormonfunksjon er essensielt for utviklingen av sentralnervesystemet. Dyreforsøk tyder på at bromerte flammehemmere kan påvirke hormonnivåene i fosterstadiet og hos nyfødte og dermed skade den umodne hjernen
- 1.
Ikonomou MG, Rayne S, Addison RF. Exponential increases of the brominated flame retardants, polybrominated diphenyl ethers, in the Canadian Arctic from 1981 to 2000. Environ Sci Technol 2000; 36: 1886 – 92.
- 2.
Thomsen C, Lundanes E, Becher G. Brominated flame retardants in archived serum samples from Norway: a study on temporal trends and the role of age. Environ Sci Technol 2002; 36: 1414 – 8.
- 3.
de Wit CA. An overview of brominated flame retardants in the environment. Chemosphere 2002; 46: 583 – 624.
- 4.
Ohta S, Ishizuka D, Nishimura H et al. Comparison of polybrominated diphenyl ethers in fish, vegetables, and meats and levels in human milk of nursing women in Japan. Chemosphere 2002; 46: 689 – 96.
- 5.
Sjödin A, Hagmar L, Klasson-Wehler E et al. Flame retardant exposure: polybrominated diphenyl ethers in blood from Swedish workers. Environ Health Perspect 1999; 107: 643 – 8.
- 6.
Meironyté D, Norén K, Bergman Å. Analysis of polybrominated diphenyl ethers in Swedish human milk. A time-related trend study. J Toxicol Environ Health 1999; 58: 329 – 41.
- 7.
Ryan JJ, Patry B. Determination of brominated diphenyl ethers (BDEs) and levels in Canadian human milk. Organohalogen Comp 2000; 47: 57 – 60.
- 8.
Lazar MA. Thyroid hormone action: a binding contract. J Clin Invest 2003; 112: 497 – 9.
- 9.
Porterfield SP. Vulnerability of the developing brain to thyroid abnormalities: environmental insults to the thyroid system. Environ Health Perspect 1994; 102 (suppl 2): 125 – 30.
- 10.
Brucker-Davis F. Effects of environmental synthetic chemicals on thyroid function. Thyroid 1998; 9: 827 – 56.
- 11.
Schreiber G, Southwell BR, Richardson SJ. Hormone delivery systems to the brain-transtyretin. Exp Clin Endocrinol Diabetes 1995; 103: 75 – 80.
- 12.
Meerts IATM, van Zanden JJ, Luiks EA et al. Potent competitive interactions of some brominated flame retardants and related compounds with human transtyretin in vitro. Toxicol Sci 2000; 56: 95 – 104.
- 13.
Zhou T, Taylor MM, deVito MJ et al. Developmental exposure to brominated diphenyl ethers results in thyroid hormone disruption. Toxicol Sci 2002; 68: 451 – 7.
- 14.
Kitamura S, Jinno N, Ohta S et al. Thyroid hormonal activity of the flame retardants tetrabromobisphenol A and tetrachlorobisphenol A. Biochem Biophys Res Commun 2002; 293: 554 – 9.
- 15.
Darnerud PO. Toxic effects of brominated flame retardants in man and in wildlife. Environ Int 2003; 29: 841 – 53.
- 16.
Rice D, Barone S. Clinical periods of vulnerability for the developing nervous system: evidence from human and animal models. Environ Health Perspect 2000; 108 (suppl 3): 511 – 33.
- 17.
Thompson CC, Potter GB. Thyroid hormone action in neural development. Cereb Cortex 2000; 10: 939 – 45.
- 18.
de Escobar GM, Obregón MJ, del Rey FE. Is neuropsychological development related to maternal hypothyroidism or to maternal hypothyroxinemia? J Clin Endocrinol Metab 2000; 85: 3975 – 87.
- 19.
Haddow JE, Palomaki GE et al. Maternal thyroid deficiency during pregnancy and subsequent neuropsychological development of the child. N Engl J Med 1999, 341: 549 – 55.
- 20.
Eriksson P, Jakobsson E, Fredriksson A. Brominated flame retardants: a novel class of developmental neurotoxicants in our environment? Environ Health Perspect 2001; 109: 903 – 8.
- 21.
Viberg H, Fredriksson A, Eriksson P. Neonatal exposure to polybrominated diphenyl ether (PBDE 153) disrupts spontaneous behaviour, impairs learning and memory, and decreases hippocampal cholinergic receptors in adult mice. Toxicol Appl Pharmacol 2003; 192: 95 – 106.
- 22.
Santillo D, Johnston P. Playing with fire: the global threat presented by brominated flame retardants justifies urgent substitution. Environ Int 2003; 29: 725 – 34.
- 23.
Reistad T, Mariussen E, Fonnum F. The effect of a brominated flame retardant, tetrabromobisphenol-A, on free radical formation in human neutrophil granulocytes: the involvement of the MAP kinase pathway and protein kinase C. Toxicol Sci 2005; 83: 89 – 100.