Background.
Traumatic brain injury (TBI) is the major cause of death among young adults in western countries. In the context of a joint Nordic initiative regarding future management of patients with severe TBI, it was of interest to look into the magnitude of the problem and the most recent developments.
Material and methods.
We have conducted a survey of the epidemiological aspects of TBI deaths in Denmark, Finland, Norway and Sweden for the period 1987 – 2000. Data were retrieved from the official statistical agencies in the four countries. We have also collected data on the number of operations for acute TBI in the year 2000 from all Nordic hospitals admitting trauma patients.
Results.
There were almost twice as many deaths from TBI in Finland as in the other Nordic countries. The median mortality rate in Finland was 21.2 per 100 000 per year. The corresponding figures for Denmark were 12.8, Norway 10.5 and Sweden 9.8. Finland also had almost twice as many operations for acute TBI with 10.0 per 100 000 per year, versus 5.1 in Denmark, 4.8 in Norway and 5.7 in Sweden. The mortality rate was about three times higher among males than among females. All countries except Finland had a significant reduction in TBI deaths during the study period. The mortality rate from injuries other than TBI was more or less the same in all four countries.
Interpretation.
Our findings imply that there are twice as many severe TBIs and related deaths in Finland compared with the other Nordic countries.
I perioden 1987 – 2000 døde det dobbelt så mange av hodeskader i Finland som i Danmark, Norge og Sverige
De nordiske landene, med unntak av Finland, hadde en signifikant nedgang i hodeskadedødsfall i samme tidsrom
I 2000 ble det operert dobbelt så mange pasienter for akutte hodeskader i Finland som i de andre nordiske landene
Traumer er den viktigste dødsårsak i befolkningen under 45 år i den vestlige verden (1). Alvorlige hodeskader er årsak til mer enn 40 % av alle traumedødsfall (1) – (3), og samtidig en viktig grunn til uførhet og store kostnader for samfunnet (1, 4) – (6).
Pasienter med alvorlige hodeskader har en medianalder omkring 35 år, rundt 3/4 er menn, drøyt 50 % skades i veitrafikkulykker og bortimot 40 % er påvirket av alkohol (1, 7) – (11). Mortalitetsraten og fordelingen av ulike årsaksfaktorer endrer seg over tid og kan være forskjellig mellom ulike regioner.
Det er av vesentlig betydning å utvikle og etablere behandlingssystemer som kan begrense mortalitet og morbiditet ved traumer (12). I år 2000 ble det publisert skandinaviske retningslinjer for håndtering av mindre alvorlige hodeskader (13) – (14). Bakgrunnen for den aktuelle undersøkelsen er et felles nordisk initiativ for å utarbeide retningslinjer også for prehospital håndtering av pasienter med alvorlige hodeskader. Vi ønsket i den forbindelse å kartlegge noen epidemiologiske aspekter ved hodeskadedødsfall i de nordiske landene, og så på utviklingen i perioden 1987 til 2000. I dette tidsrommet har det ikke eksistert felles nasjonale eller overnasjonale retningslinjer i Norden for behandling av alvorlige hodeskader.
Materiale og metoder
Datainnsamling
Vi kontaktet de offisielle statistikkbyråenes underdivisjoner for dødsårsaksstatistikk i Danmark, Finland, Norge og Sverige. Absolutte tall over totalt antall personer, menn og kvinner, med hodeskade som dødsårsak i perioden 1987 til 2002 ble etterspurt. Til grunn for henvendelsene lå spesifiserte diagnosekoder for hodeskader i den internasjonale sykdomsklassifikasjonen ICD (International Statistical Classification of Diseases and Related Health Problems). For ICD-8 ble det oppgitt følgende diagnosekoder: 800, 801, 803, 851, 852, 853 og 854. Diagnosekoder for ICD-9 var 800, 801, 802, 803, 804, 850, 851, 852, 853 og 854, og for ICD-10 var diagnosekodene S00, S02, S03, S04, S06, S07, S08 og S09. Finland og Norge brukte ICD-9 frem til 1995, og ICD-10 fra og med 1996. Sverige brukte ICD-9 ett år lenger, og ICD-10 fra og med 1997. Danmark brukte ICD-8 frem til 1993, og gikk rett over til ICD-10 fra og med 1994.
Tall for totalt antall traumedødsfall i de fire landene ble hentet fra årsstatistikkene i databasene til landenes offisielle statistikkbyråer tilgjengelig via Internett.
Det ble også rettet en direkte henvendelse til alle sykehus i Norden som mottar pasienter med akutte skader. Vi spurte om de utførte operasjoner for akutte hodeskader, og i så fall hvor mange slike operasjoner de hadde utført i år 2000. I henvendelsen definerte vi «operasjoner for akutte hodeskader» som inngrep som tar sikte på å evakuere intrakraniale hematomer/hjerneknusninger, stanse intrakraniale, traumatiske blødninger og/eller å reponere kraniefrakturer. Evakuering av kroniske, subdurale hematomer skulle ikke inkluderes.
Statistiske beregninger
De statistiske analyser ble gjort med Statistical Package for the Social Sciences (SPSS) versjon 12,0. Vi beregnet mortalitetsrater (dødsfall per 100 000 innbyggere per år) i de respektive landene for alle år i undersøkelsesperioden, med utgangspunkt i folketallet for det aktuelle året. Tallmaterialet ble testet for normalitet. Dataene var ikke normalfordelte, og antall dødsfall presenteres derfor som mediane mortalitetsrater. Kruskal-Wallis test ble brukt for å se på forskjeller mellom landene, og Mann-Whitneys U-test ble benyttet for å sammenlikne to land med hverandre. Endring i mortalitetsrater over tid ble testet med lineær regresjon. P < 0,05 ble betraktet som signifikant.
Resultater
Hodeskadedødsfall
Komplette tall for hodeskadedødsfall lot seg skaffe for Finland, Norge og Sverige for tidsrommet 1987 – 2002. For Danmark mangler tallene for årene 2001 og 2002. Disse to siste årene er derfor ikke tatt med i de videre beregninger.
Tabell 1 viser medianverdier for årlige hodeskadedødsfall og kjønnsfordeling i Danmark, Finland, Norge og Sverige i perioden 1987 – 2000. I alle undersøkelseslandene døde det omtrent tre ganger så mange menn som kvinner av hodeskader.
Tabell 1
Medianverdier for årlige hodeskadedødsfall og kjønnsfordeling i Danmark, Finland, Norge og Sverige i perioden 1987 – 2000
| Land |
Totalt |
Menn |
Kvinner |
Menn/kvinner |
| Danmark |
663 |
468 |
190 |
2,5 |
| Finland |
1 083 |
821 |
258 |
3,2 |
| Norge |
461 |
340 |
105 |
3,2 |
| Sverige |
863 |
633 |
241 |
2,6 |
| Totalt |
3 070 |
2 262 |
794 |
2,8 |
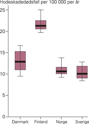
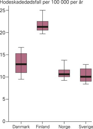
Den totale mediane mortalitetsraten for hodeskader i hele regionen var 11,5 per 100 000 per år (gjennomsnitt 13,8). De mediane nasjonale ratene var 12,8 for Danmark, 21,2 for Finland, 10,5 for Norge og 9,8 for Sverige. Norge og Sverige hadde signifikant lavere mortalitetsrate enn Danmark. Finland hadde signifikant høyere mortalitetsrate enn Danmark, og altså vel dobbelt så høy mortalitetsrate som Norge og Sverige (fig 1).
Figur 2 viser utviklingen av antall hodeskadedødsfall i Danmark, Finland, Norge og Sverige i tiden 1987 – 2000. Danmark, Norge og Sverige hadde en signifikant reduksjon i antall dødsfall på grunn av hodeskader. For Finland var det ingen signifikant reduksjon (p = 0,078). Dette gjaldt både finske menn (p = 0,058) og kvinner (p = 0,321).
Dødsfall av andre typer skader
Den nordiske mediane mortalitetsraten for alle typer traumer (selvmord unntatt) var 44,8 døde per 100 000 innbyggere per år. Finland hadde flest traumedødsfall med 53,3, dernest Danmark med 46,6, Norge med 40,8 og Sverige med 36,6. Dødsfall på grunn av hodeskader utgjorde omtrent 1/3 av alle traumedødsfall. Denne andelen var størst i Finland med 40 %. De andre landene var relativt like, med 31 % for Danmark, 27 % for Norge og 29 % for Sverige.
Trekker man antall hodeskadedødsfall fra det totale antall traumedødsfall, får man antall dødsfall forårsaket av andre skader enn hodeskader. Dette antallet var 32,4 per 100 000 per år for Danmark, 32,1 for Finland, 30,4 for Norge og 26,4 for Sverige. Det var altså ingen signifikante forskjeller mellom landene i antall dødsfall forårsaket av andre skader enn hodeskader.
Hodeskadeoperasjoner
I 2000 ble det i Finland utført 10,0 operasjoner per 100 000 innbyggere (516 operasjoner) for akutte hodeskader. Dette var nesten dobbelt så mange som i de andre nordiske landene. De tilsvarende tall var 5,1 (275 operasjoner) for Danmark, 4,8 (215 operasjoner) for Norge og 5,7 (510 operasjoner) for Sverige (tab 2).
Tabell 2
Totalt antall operasjoner og antall operasjoner per 100 000 innbyggere for akutte hodeskader i Danmark, Finland, Norge og Sverige i år 2000
| Operasjoner |
||
| Land |
Antall |
Per 100 000 |
| Danmark |
275 |
5,1 |
| Finland |
516 |
10,0 |
| Norge |
215 |
4,8 |
| Sverige |
510 |
5,7 |
Diskusjon
Denne studien viser først og fremst at mortalitetsraten på grunn av hodeskader var omtrent dobbelt så høy i Finland som i resten av de nordiske landene i perioden 1987 – 2000. Undersøkelsen viser også at det i perioden var en signifikant reduksjon i antall hodeskadedødsfall, bortsett fra i Finland.
Man kan stille spørsmål om forskjellen i antall hodeskadedødsfall er reell, eller om den helt eller delvis kan tilskrives metodologiske feilkilder. Innsamling av data fra nasjonale statistikkdatabaser kan være beheftet med usikkerhetsmomenter (1). Diagnoseverktøyene som benyttes er like, men det kan likevel foreligge variasjon i meldings- og kodingsprosedyrer. Sammenlikning av dødsårsaker klassifisert etter ulike ICD-revisjoner medfører også vanskeligheter, både på grunn av forskjell i innhold og endring i regler for valg av underliggende dødsårsak (15) – (16). Vi kan ikke helt utelukke at en del av de påviste forskjellene mellom land i antall hodeskadedødsfall samt endring i mortalitetsrater innenfor et land, skyldes slike feilkilder. Det er imidlertid rimelig å anta at differansen mellom Finland og resten av Norden er reell, fordi vi fant en tilsvarende forskjell mellom landene når det gjelder operasjoner for akutte hodeskader. Vi vet også at omtrent 90 % av alle ulykkesofre i Finland obduseres, slik at diagnosen hodeskade som dødsårsak i de fleste tilfeller vil ha stor sikkerhet (17) – (18).
I denne sammenhengen er det av interesse at forskjellen mellom Finland og de øvrige nordiske land er så uttalt for hodeskadedødsfall, og ikke for dødsfall forårsaket av andre typer skader. Det synes derfor som om det i Finland er en overvekt av skademekanismer og/eller atferd som fortrinnsvis gir hodeskader, sammenliknet med Norden for øvrig. Veitrafikkulykker, fallulykker, selvmord og vold er de viktigste årsakene til hodeskader (1, 7) – (10, 19) – (20). Fordelingen av ulike etiologiske faktorer er rimeligvis geografisk og kulturelt betinget (1, 11), og endrer seg med tiden. I USA var for eksempel veitrafikkulykker viktigste grunn til hodeskadedødsfall frem til 1990 (19), mens hendelser relatert til skytevåpen har overtatt etter dette (20). 68 % av de skytevåpenrelaterte hodeskadedødsfallene i USA var selvmord i perioden 1989 – 98 (20). Det ble i samme periode registrert en nedgang på 11,4 %, fra 21,9 til 19,4 per 100 000 innbyggere, i antall dødsfall på grunn av hodeskader i USA. I Europa regnes fremdeles veitrafikkulykker som viktigste grunn til hodeskadedødsfall (7, 10).
Alkoholpåvirkning er en viktig risikofaktor for hodeskader (1, 8) – (9). Alkoholmisbruk er en kjent årsak til nasjonal morbiditet og mortalitet i Finland, og er antakelig en viktig årsak til det høyere antallet traumedødsfall og hodeskadedødsfall enn i Norden for øvrig (17) – (18, 21).
I studieperioden var det flest trafikkdødsfall og fallrelaterte dødsfall i Danmark (22) – (24). Undersøkelser fra blant annet Sverige og Finland har pekt på en økende forekomst av fallulykker blant eldre, men en generelt fallende insidens av veitrafikkulykker, som årsak til hodeskader (25) – (27). Betydningen av dette ser ut til å være færre alvorlige hodeskader, men også en økende gjennomsnittsalder, med dertil hørende høyere mortalitet (28) – (30). Finland hadde derimot betydelig flere selvmord enn de andre nordiske landene (31), og Finland var det eneste landet i EU hvor selvmord var hyppigste dødsårsak blant yngre mennesker (23). Majoriteten av finnene valgte også såkalte voldsomme metoder ved selvmord (32), hvilket gjør det mer sannsynlig at disse døde av en hodeskade. Man vet også at mortalitetsraten for drap og vold var omtrent 3 per 100 000 i Finland på 1990-tallet (33). Dette var drøyt dobbelt så høyt som i de andre studielandene.
Denne studien viser også at man må utvise forsiktighet ved fortolkning av effekt etter innføring av regionale retningslinjer for behandling. I en periode uten noen form for felles retningslinjer ser man en reduksjon av mortalitetsratene for hodeskader i store deler av Norden. Finland kan sannsynligvis vente en større reduksjon i antall hodeskadedødsfall ved forebyggende tiltak enn de øvrige tre landene.
Konklusjon
Vi har i denne studien vist at det kan være overraskende forskjeller mellom de nordiske landene. I perioden 1987 til 2002 var det i Finland nesten dobbelt så mange hodeskadedødsfall, og i 2000 ble det operert bortimot dobbelt så mange akutte hodeskader som i de øvrige nordiske landene. I det samme tidsrommet var det en signifikant nedgang i mortalitetsratene for hodeskader i Danmark, Norge og Sverige, mens man i Finland ikke hadde denne gunstige utviklingen. Det høye antall hodeskadedødsfall og hodeskadeoperasjoner tyder på at det i Finland var en overhyppighet av ulykker som fortrinnsvis gir hodeskader, da antall dødsfall på grunn av andre skader var relativt likt landene imellom.
Oppgitte interessekonflikter: Ingen
- 1.
Jennett B. Epidemiology of head injury. J Neurol Neurosurg Psychiatry 1996; 60: 362 – 9.
- 2.
Shackford SR, Mackersie RC, Holbrook TL et al. The epidemiology of traumatic death: a population-based analysis. Arch Surg 1993; 128: 571 – 5.
- 3.
Acosta JA, Yang JC, Winchell RJ et al. Lethal injuries and time to death in a level I trauma center. J Am Coll Surg 1998; 186: 528 – 33.
- 4.
MacKenzie EJ, Siegel JH, Shapiro S et al. Functional recovery and medical cost of trauma: an analysis by type and severity of injury. J Trauma 1988; 28: 281 – 97.
- 5.
Gentleman D. Improving outcome after traumatic brain injury – progress and challenges. Br Med Bull 2001; 55: 910 – 26.
- 6.
Thornhill S, Teasdale GM, Murray GD et al. Disability in young people and adults one year after head injury: a prospective cohort study. BMJ 2000; 320: 1631 – 5.
- 7.
Murray GD, Teasdale GM, Braakman R et al. The European Brain Injury Consortium Survey of Head Injuries. Acta Neurochir 1999; 141: 223 – 36.
- 8.
Jennett B, Teasdale G, Galbraith S et al. Severe head injuries in three countries. J Neurol Neurosurg Psychiatry 1977; 40: 291 – 8.
- 9.
Marshall LF, Becker DP, Bowers SA et al. The National Traumatic Coma Data Bank Part 1. Design, purpose, goals, and results. J Neurosurg 1983; 59: 276 – 84.
- 10.
Murray LS, Teasdale GM, Murray GD et al. Head injuries in four British neurosurgical centres. Br J Neurosurg 1999; 13: 564 – 9.
- 11.
Hukkelhoven CW, Steyerberg EW, Farace E et al. Regional differences in patient characteristics, case management, and outcome in traumatic brain injury: experience from the tirilizad trials. J Neurosurg 2002; 97: 549 – 57.
- 12.
Brattebø G, Wisborg T, Brattebø J et al. Bedre traumebehandling – BEST eller ATLS? Tidsskr Nor Lægeforen 2001; 121: 505 – 6.
- 13.
Ingebrigtsen T, Romner B, Kock-Jensen C. Scandinavian guidelines for initial management of minimal, mild, and moderate head injuries. The Scandinavian Neurotrauma Committee. J Trauma 2000; 48: 760 – 6.
- 14.
Ingebrigtsen T, Rise IR, Wester K er al. Skandinaviske retningslinjer for håndtering av minimale, lette og moderate hodeskader Tidsskr Nor Lægeforen 2000; 120: 1985 – 90.
- 15.
Health statistics in the Nordic countries 2001. Copenhagen: Nordic Medico Statistical Committee (NOMESCO), 2003. www.nom-nos.dk/nomesco.htm (2.11.2004).
- 16.
Jansson B, Johansson LA, Rosen M et al. National adaptations of the ICD-rules for classification – a problem in the evaluation of cause-of-death trends. J Clin Epidemiol 1997; 50: 367 – 75.
- 17.
Melinder KA, Andersson R. Differences in mortality between the Nordic countries – with special reference to differences in coding practices. Scand J Soc Med 1998; 26: 190 – 7.
- 18.
Lunetta P, Penttila A, Sarna S. The role of alcohol in accident and violent deaths in Finland. Alcohol Clin Exp Res 2001; 25: 1654 – 61.
- 19.
Sosin DM, Sniezek JE, Waxweller RJ. Trends in death associated with traumatic brain injury, 1979 through 1992: success and failure. JAMA 1995; 273: 1778 – 80.
- 20.
Adekoya N, Thurman DJ, White DD et al. Surveillance for traumatic brain injury deaths – United States, 1989 – 1998. MMWR Surveill Summ 2002; 51: 1 – 14.
- 21.
Cipriani F, Landucci S, Bloomfield K. Alcohol-related mortality in Europe: A tentative analysis from the EU project «Alcohol consumption and alcohol problems among women in European countries». Subst Abus 2001; 22: 55 – 67.
- 22.
Dödade, svårt og lindrigt skadade personer vid polisrapporterade vägtrafikolyckor i de nordiska länderna. Åren 1985 – 2002. Stockholm: Statens Institut för Kommunikasjonsanalys (SIKA), 2003. www.sika-institute.se/omsika_fr.html (2.11.2004).
- 23.
Health statistics – Atlas on mortality in the European Union 1994 – 1996. Luxembourg: EUROSTAT, 2002.
- 24.
Mortality in the EU 1997 – 1999. Statistics in focus, theme 3, 2/2004. Luxembourg: EUROSTAT, 2004.
- 25.
Kannus P, Palvanen M, Niemi S et al. Increasing number and incidence of fall-induced severe head injuries in older adults: nationwide statistics in Finland in 1970 – 1995 and prediction for the future. Am J Epidemiol 1999; 149: 143 – 50.
- 26.
Masson F, Thicoipe M, Aye P et al. Epidemiology of severe brain injuries: A prospective population-based study. J Trauma 2001; 51: 481 – 9.
- 27.
Kleiven S, Peloso PM, von Holst H. The epidemiology of head injuries in Sweden from 1987 to 2000. Inj Control Saf Promot 2003; 10: 173 – 80.
- 28.
Susman M, DiRusso SM, Sullivan T et al. Traumatic brain injury in the elderly: Increased mortality and worse functional outcome at discharge despite lower injury severity. J Trauma 2002; 53: 219 – 23.
- 29.
Munro PT, Smith RD, Parke TRJ. Effect of patient’s age on management of acute intracranial haematoma: a prospective national study. BMJ 2002; 325: 1001 – 3.
- 30.
Hukkelhoven CW, Steyerberg EW, Rampen AJ et al. Patient age and outcome following severe traumatic brain injury: an analysis of 5600 patients. J Neurosurg 2003; 99: 666 – 73.
- 31.
SDR, suicide and self-inflicted injury, all ages, per 100 000, 1987 – 2002, Nordic countries. Copenhagen: World Health Organization, Regional Office of Europe, European health for all database. http://hfadb.who.dk/hfa (2.11.2004).
- 32.
Rasanen P, Hakko H, Jokelainen J et al. Seasonal variation in specific methods of suicide: a national register study of 20234 Finnish people. J Affect Disord 2002; 71: 51 – 9.
- 33.
SDR, homicide and intentional injury, all ages, per 100 000, 1987 – 2002, Nordic countries. Copenhagen: World Health Organization, Regional Office of Europe, European health for all database. http://hfadb.who.dk/hfa (2.11.2004).