Etylengykol er en fargeløs væske med lett aromatisk duft og søtlig smak. Den brukes blant annet som komponent i frostvæske til forbrenningsmotorer. Stoffet er lite toksisk i seg selv, men gir sentralnervøs depresjon som etanol. Etylenglykol metaboliseres imidlertid raskt av alkoholdehydrogenase (ADH), hovedsakelig i leveren. Metabolitene gir uttalt metabolsk acidose og utfelling av kalsiumoksalat i flere organer, noe som kan føre til kardiopulmonal svikt, nyresvikt og sentralnervøse forandringer som kan være irreversible (1).
Etanol hemmer nedbrytningen av etylenglykol via alkoholdehydrogenase ved selv å være et substrat med større affinitet til enzymet. Dette er bakgrunnen for bruken av etanol som antidot ved etylenglykol- og metanolforgiftning (1). Forgiftning med etylenglykol er sjeldent, men alvorlig og krever rask diagnostikk og behandling for å unngå komplikasjoner og fatal utgang (1, 2). Mange tilfeller diagnostiseres for sent, fordi man glemmer å tenke på inntak av etylenglykol (og metanol) hos pasienter som innlegges med metabolsk acidose av ukjent årsak (3, 4). Det er derfor utarbeidet retningslinjer for hvordan man bør utrede slike pasienter, med beregning av osmolalt gap, aniongap og urinmikroskopi (4). Letal dose for etylenglykol er hos voksne som regel angitt til 100 ml (1).
Tradisjonelt har behandlingen vært tilførsel av etanol og alkali og hemodialyse. Nylig er det markedsført en ny syntetisk hemmer av alkoholdehydrogenase, 4-metylpyrazol (fomepizol), som kan ha vesentlige fordeler fremfor etanol (5, 6), Vi beskriver her tre pasienter behandlet med fomepizol og diskuterer hvilken betydning dette har for den øvrige behandlingen ved etylenglykolforgiftning.
Den kliniske tilstanden bedret seg gradvis, og blodgasskontroller viste rask og vedvarende normalisering av den metabolske acidosen uten ytterligere alkalitilførsel. Osmolalt gap og aniongap ble også gradvis normalisert. Det ble en forbigående, lett økning i s-kreatinin (147 mmol/l) det første døgnet, men diuresen var hele tiden god. Etter fire døgns opphold ble pasienten utskrevet til psykiatrisk oppfølging. Hun var da somatisk restituert med normal nyrefunksjon og uten nevrologisk skade.
Pasient 1. Kvinne, 32 år, som ble innlagt få timer etter inntak av sertralin (Zoloft) 700 mg, klorprotiksen (Truxal) 2 g og en brusflaske (500 ml) med angivelig vindusspylervæske, som vanligvis inneholder isopropanol. Ved innleggelsen var hun somnolent med blodtrykk 115/75 mm Hg, puls 100/min regelmessig, anstrengt respirasjon og store pupiller med treg lysreaksjon. For øvrig var organstatus upåfallende. Arteriell blodgass ved innkomst viste en uttalt metabolsk acidose (pH 7,1; p CO₂ 2,43 kPa; HCO₃ 5,4 mmol/l, baseunderskudd 23 mmol/l) med forhøyet osmolalt gap (137 mosm/kg) og aniongap (32 mmol). S-kreatinin var 104 mmol/l og s-karbamid 2,3 mmol/l. Nyrefunksjonen var normal. Det forelå ingen opplysninger om diabetes eller alkoholinntak, og det ble ikke påvist etanol i blodet. Ved innkomst ble pasienten ventrikkelskylt og fikk nedsatt medisinsk kull i sonden. Tribonat (500 ml) og deretter natriumhydrogenkarbonat 167 mmol/l (1 000 ml) ble gitt intravenøst for å motvirke den metabolske acidosen. Før svaret på analyse av etylenglykol forelå, ble det på bakgrunn av uttalt acidose, forhøyet aniongap og osmolalt gap antatt at pasienten var forgiftet med etylenglykol. Det ble besluttet å bruke fomepizol som antidot. Behandlingen ble startet to til tre timer etter innleggelsen. Fordi pasienten hadde normalt serum-kreatininnivå og god diurese, samt at den metabolske acidosen lot seg korrigere med base, valgte man initialt under regelmessige kontroller av blodgass, aniongap og osmolalt gap å avstå fra hemodialyse. Fomepizol ble gitt som 15 mg/kg i bolus og deretter ble det gitt 10 mg/kg hver 12. time (til sammen 3 000 mg fordelt p&arin
g; fire bolusdoser). Eliminasjonskurven for serum-etylenglykol er vist i figur 1.
Pasient 2 . Mann, 52 år gammel. Kjent alkoholmisbruker, ellers frisk. Innlagt i lokalsykehus bevisstløs etter å ha drukket noe han trodde var vindusspylervæske. Arteriell blodgassanalyse ved innkomsten viste metabolsk acidose med pH 6,9, p CO₂1,6 kPa, HCO₃3,6 mmol/l, p O₂19,4 kPa og baseunderskudd 28 mmol/l. Beregnet aniongap var 33 mmol/l og osmolalt gap 111 mosm/kg. Etanol, metanol og isopropanol ble ikke påvist. Man mistenkte forgiftning med etylenglykol, og behandlet pasienten med natriumhydrogenkarbonat og infusjon av etanol. Han ble overflyttet til Ullevål universitetssykehus for videre behandling 12 timer senere. Ved ankomst der, var han komatøs, med pH 7,3, p CO₂ 2,5 kPa og negativt baseunderskudd 13 mmol/l. Beregnet aniongap var 38 mmol/l og osmolalt gap 47 mosm/kg. Man kunne ikke påvise etanol i serum. Ved mikroskopi av urin så man rikelig med nåleformede krystaller. S-kreatinin og karbamid var normale ved innleggelsen; kreatininnivået steg til maksimalt 126 mmol/l første døgn for senere å normaliseres. Pasientens acidose ble fullkorrigert, og man startet umiddelbart behandling med fomepizol 15 mg/kg intravenøst, etterfulgt av 10 mg/kg hver 12. time (totalt 55 mg/kg). S-etylenglykol ved ankomst Ullevål universitetssykehus var betydelig forhøyet til 39 mmol/l. Den videre behandlingen var ukomplisert, uten residiv av metabolsk acidose og uten utvikling av nyresvikt. Han fikk behandling for en mulig aspirasjonspneumoni, og ble overflyttet lokalsykehus etter fire dager. Derfra ble han utskrevet til hjemmet tre dager senere.
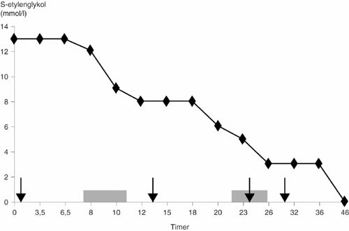
Pasient 3. Mann, 41 år gammel. Innlagt lokalsykehus bevisstløs. Arteriell blodgassanalyse ved innkomsten viste metabolsk acidose med pH 7,0, p CO₂1,4 kPa, HCO₃2,6 mmol/l, p O₂18,4 kPa og baseunderskudd 26 mmol/l. Beregnet aniongap var 45 mmol/l og osmolalt gap 54 mosm/kg. Etanol ble ikke påvist. Ved mikroskopi av urin så man rikelig med nåleformede krystaller. Man mistenkte forgiftning med etylenglykol, og behandlet pasienten med natriumhydrogenkarbonat og infusjon av etanol. Pasienten ble overflyttet til Ullevål universitetssykehus for videre behandling seks timer senere. Ved ankomst her var han fortsatt komatøs med pH 7,2, p CO₂ 1,8 kPa, p O₂ 16,4 kPa og baseunderskudd 21 mmol/l. Beregnet aniongap var 38 mmol/l og osmolalt gap 35 mosmol/kg. S-etanol var 0,5 (11 mmol/l) og s-etylenglykol 13 mmol/l. Metanol og isopropanol ble ikke påvist. Pasientens acidose ble korrigert med natriumhydrogenkarbonat, og man startet behandling med fomepizol 15 mg/kg intravenøst, etterfulgt av 10 mg/kg hver 12. time (totalt 45 mg/kg).
Pasienten var initialt hypotensiv, med dårlig perifer sirkulasjon og lav urinproduksjon. Han fikk rikelig væsketilførsel og infusjon av dopamin, men utviklet akutt oligurisk nyresvikt. Høye verdier av aniongap og anuri gjorde at hemodialyse (2,5 timer) ble startet få timer etter innleggelse og gjentatt dagen etter (3 timer) pga. overhydrering, anuri og fortsatt høye etylenglykolverdier i serum, som vist ved eliminasjonskurven i figur 2. Dagen etter innleggelse var han våken og adekvat med normal CT caput. Han ble overflyttet sentralsykehus etter to dager. Man kunne der avslutte dialysebehandlingen ti dager senere, og pasienten ble utskrevet til hjemmet etter totalt 18 døgns sykehusopphold uten noe påvisbart sekvele.
Diskusjon
Selv om etanol er en effektiv, tilgjengelig og rimelig antidot ved forgiftninger med etylenglykol (og metanol), er ikke bruken helt uten problemer. Behandlingen er først og fremst vanskelig å styre, selv i sykehus med døgnberedskap for monitorering av s-etanol (1 – 3). Dette har sammenheng med at metabolismen av etanol er variabel og at mye etanol fjernes ved samtidig hemodialyse (1, 2). Dette har gjennomgående ført til at de fleste pasienter får for lite etanol og følgelig en inkomplett hemming av alkoholdehydrogenase. Dette var tilfellet hos de to pasientene (pasient 2 og pasient 3) som ble overflyttet fra sykehus hvor man ikke kunne monitorere etanolbehandlingen.
Man anbefaler oftest en terapeutisk s-etanol på 1 g/l (22 mmol/l) ved forgiftning med metanol eller etylenglykol, men dette er avhengig av konsentrasjonen av den toksiske alkoholen fordi det er konkurranse om enzymet alkoholdehydrogenase. Etylenglykol har en depressiv sentralnervøs effekt, og tilførsel av etanol kan forverre denne depresjonen kraftig. Respirasjonsstans kan derfor inntre under bolusinfusjonen (7). Det er et problem at etanol ikke bør gis i sterkere løsning enn 10 %. Dette gjør at relativt store volumer må gis, noe som kan være et problem ved etylenglykolforgiftning og oligurisk nyresvikt uten dialysemulighet.
Etanol har ikke vært den ideelle antidot mot toksiske alkoholer, og man har derfor lenge forsket etter en mer effektiv hemmer av alkoholdehydrogenase med mindre depressiv effekt på sentralnervesystemet. Eksperimentelle studier med fomepizol i Sverige (8, 9) og senere i USA (10) ble fulgt av enkeltrapporter om bruk på pasienter i Frankrike, hvor man produserte og sterilfiltrerte 4-metylpyrazol til eget klinisk bruk (11). Parallelt med den kliniske bruken i Frankrike ble det utført studier på sikkerhet og farmakokinetikk hos friske frivillige i USA (12, 13). Disse kliniske utprøvningene var lovende og ble etterfulgt av en vellykket fase 3-studie både på pasienter forgiftet med metanol og pasienter forgiftet av etylenglykol (5, 14, 15). Fomepizol ble av myndighetene i USA i 1997 og 2000 godkjent til bruk på henholdsvis metanol- og etylenglykolforgiftninger. Etter at FDA godkjente bruken, har mange andre land også tatt fomepizol i bruk.
Fomepizol har en komplisert farmakokinetikk og induserer i løpet av få dager sin egen metabolisme. Vedlikeholdsdosen må derfor økes hvis mer enn 2 – 3 døgns behandling er nødvendig (13). Til tross for dette er stoffet lett å administrere, og det gir stabile og effektive serumkonsentrasjoner over flere døgn. Også denne antidoten fjernes ved hemodialyse, slik at dosen da må økes noe (1). Fordi fomepizol har stabile serumkonsentrasjoner slipper man å monitorere antidotkonsentrasjonen og unngår utvikling av sentralnervøse eller hemodynamiske bivirkninger.
Effektiv hemming av metabolismen av etylenglykol kan dokumenteres direkte ved rask eliminasjon av glykolsyre eller indirekte via normalisering av syre-base-status uten senere residiv av metabolsk acidose. Måling av glykolsyrenivå er ingen rutineanalyse, og den raske, vedvarende normalisering av den metabolske acidosen hos alle våre pasienter blir da den eneste måten å påvise effekt av antidotbehandlingen på. Når metabolismen av etylenglykol er blokkert, er eliminasjonen så å si utelukkende renal, med en halveringstid på omtrent 15 timer, avhengig av diurese og nyrefunksjon (1, 11).
Mekanismen bak denne raske renale eliminasjonen av glykolen i forhold til metanol og etanol er ukjent. Hos pasient 1 og pasient 2 var halveringstiden for etylenglykol under behandling med fomepizol henholdsvis 16 og ni timer. Den korte halveringstiden hos pasient 2 kunne indikere inkomplett hemming av alkoholhydrogenase. Syre-base-status var imidlertid hele tiden normal, slik at dette trolig heller var uttrykk for interindividuelle forskjeller. Vi kunne heller ikke påvise bivirkninger av behandlingen, men dette sees vanligvis først ved supraterapeutiske doser (engangsdoser på over 50 mg/kg), i form av hodepine, kvalme og svimmelhet (12).
Det diskuteres hvorvidt fomepizol og alkali kan være eneste spesifikke behandling av metanol- og etylenglykolforgiftning, dvs. at dialyse kanskje er unødvendig hos pasienter som innlegges tidlig uten uttalt acidose eller nyresvikt (2, 6, 11, 15). Flere rapporter tyder på at dette er tilfellet, og dette synes akseptert hvis ikke serumkonsentrasjonen av etylenglykol er for høy – uten at dette kan defineres nærmere. Våre resultater (pasient 1 og pasient 2) tyder imidlertid på at selv pasienter med uttalt metabolsk acidose og svært høy konsentrasjon av etylenglykol initialt kan behandles med fomepizol uten dialyse forutsatt at acidosen lar seg korrigere. Dialyse kan ev. startes senere dersom nyresvikt utvikles, jf. behandlingen av pasient 3. Dette kan bety at man slipper akutte overflyttinger av ustabile pasienter til dialyseavdelinger. Pasienten kan stabiliseres lokalt med alkali og fomepizol og ev. overføres i mer stabil fase uten koma, acidose, hyperkalemi og overhydrering. Det er også verdt å merke seg den ekstremt høye konsentrasjonen av etylenglykol hos pasient 1 – vi er ikke kjent med at slike pasienter tidligere er behandlet med fomepizol alene uten dialyse. Dette understreker imidlertid bare at det er grad av metabolsk acidose, dvs. toksiske metabolitter, og ikke konsentrasjonen av toksisk alkohol som er den viktigste markør for alvorlighetsgrad.
Pasient 3 illustrerer godt hvor effektivt fomepizol hemmer metabolismen av etylenglykol og hvor avhengig dens eliminasjon da er av nyrefunksjonen. For tidsrommet som dekkes av figuren (fig 2) er det minimal eliminasjon av etylenglykol utenom de to dialyseperiodene. Dette har den terapeutiske konsekvens at slike forgiftninger alltid må behandles med dialyse hvis det utvikler seg nyresvikt. Det er vår erfaring at også den akutte nyresvikten ved disse forgiftningene kan være ikke-oligurisk, slik at man ikke bare må se på diuresemengden når man tar stilling til ev. dialyse. Vår pasient burde vært dialysert lenger ved første gangs dialyse. Vi hadde imidlertid ikke tilgang på analysesvar underveis som veiledning. I slike tilfeller er det åtte timers dialyse som som oftest anbefales (1) og som antakelig burde vært utført her.
En ulempe med fomepizol er at prisen er høy. Man må påregne 15 000 til 22 000 kroner (2 – 3 ampuller) per behandling av en voksen pasient. Selv om fomepizol er en mer effektiv motgift, er lettere å administrere og har mindre bivirkninger, er prisen blitt et viktig diskusjonstema her i Europa. I USA har man nesten helt gått over til bare å bruke fomepizol, fordi man reduserer dialysebehovet og kan behandle pasienten på et lavere kostnadsnivå. Prisproblemet gjelder også andre antidoter, blant annet på grunn av det lille markedet, selv internasjonalt. En konstruktiv løsning på dette kan være større grad av samarbeid mellom sykehus når det gjelder lagerhold av motgifter. En nylig gjennomført studie viste at det kan være mye å vinne på slikt samarbeid her i landet (16). I denne studien anbefales at fomepizol i alle fall lagerholdes på region- og sentralsykehusnivå, men at lokale forhold som insidens av slike forgiftninger og nærhet til andre sykehus også må vurderes.
Konklusjon
Fomepizol er en effektiv motgift ved forgiftning med etylenglykol. Stoffet har i terapeutiske doser få om noen bivirkninger, og gitt før utvikling av nyresvikt kan man oftest klare seg uten dialyse. Ulempen er høy pris, men dette bør ikke være til hinder for at lokalsykehus kan oppbevare én ampulle (holdbarhet to år fra fabrikk og ca. halvannet år fra dato utlevert fra Norsk Medisinaldepot), som som oftest er tilstrekkelig for behandling i ett døgn. Ved behov er det da nok tid til at ytterligere antidot kan hentes/lånes fra nærmeste sykehus, ev. fra suppleringslager ved regionsykehus. Dette illustrerer en måte som sykehus lokalt, regionalt og nasjonalt kan samarbeide på om lagerhold av dyre motgifter.
Analysene av etylenglykol ble utført ved avdeling for legemidler, St. Olavs Hospital, og ved Klinisk kjemisk avdeling, Ullevål universitetssykehus. Forfatterne takker de respektive avdelinger for tillatelse til å bruke analyseresultatene.
- 1.
Jacobsen D, McMartin KE. Antidotes for methanol and ethylene glycol poisoning. J Toxicol Clin Toxicol 1997; 35: 127 – 43.
- 2.
Watson WA. Ethylene glycol toxicity: closing on rational, evidence-based treatment. Ann Emerg Med 2000; 36: 139 – 41.
- 3.
Persson H. Forgiftning med etylenglykol och metanol. Fomepizol – en alternativ antidot. Läkartidningen 2001; 98: 3334 – 7.
- 4.
Aabakken L, Enger E, Jacobsen D, Strømme JH. Metabolsk acidose – en diagnostisk utfordring. Tidsskr Nor Lægeforen 1994; 114: 331 – 4.
- 5.
Brent J, McMartin K, Phillips S, Burkhart KK, Donovan W, Wells M. Fomepizole for the treatment of ethylene glycol poisoning. N Engl J Med 1999; 340: 832 – 8.
- 6.
Jacobsen D. New treatment for ethylene glycol poisoning. N Engl J Med 1999; 340: 879 – 81.
- 7.
Kowalczyk M, Halvorsen S, Øvrebø S, Jacobsen D. Ethanol therapy in ethylene glycol poisoned patients. Vet Hum Toxicol 1998; 40: 225 – 8.
- 8.
Li TK, Theorell H. Human liver alcohol dehydrogenase inhibition by pyrazole and pyrazol analogs. Acta Chemi Scand 1969; 23: 892 – 902.
- 9.
Blomstrand R, Theorell H. Inhibitory effect of ethanol oxidation in man after administration of 4-methylpyrazol. Life Sciences 1970; 9: 631 – 40.
- 10.
McMartin KE, Hedstrøm KG, Tolf BR, Østling-Wintzell H, Blomstrand R. Studies on the metabolic interactions between 4-methylpyrazole and methanol using the monkey as an animal model. Arch Biochem Biophys 1980; 199: 606 – 14.
- 11.
Baud FJ, Galliot M, Astier A, Bien DV, Garnier R, Likforman J et al. Treatment of ethylene glycol poisoning with intravenous 4-methylpyrazole. N Engl J Med 1988; 319: 97 – 100.
- 12.
Jacobsen D, Sebastian CS, Blomstrand R, McMartin KE. 4-methylpyrazole: a controlled study of safety in healthy human subjects after single, ascending doses. Alcohol Clin Exp Res 1988; 12: 516 – 22.
- 13.
Jacobsen D, Sebastian CS, Barron SK, Carriere EW, McMartin KE. Effects of 4-methylpyrazole, methanol/ethylene glycol antidote, in healthy humans. J Emerg Med 1990; 8: 455 – 61.
- 14.
Brent J, McMartin K, Phillips S, Aaron C, Kulig K. Fomepizole for the treatment of methanol poisoning. N Engl J Med 2001; 344: 424 – 9.
- 15.
Sivilotti MLA, Burns M, McMartin KE, Brent J. Toxicokinetics of ethylene glycol during fomepizol therapy: implications for management. Ann Emerg Med 2000; 36: 114 – 25.
- 16.
Solheim L, Andrew E, Jacobsen D. Antidotberedskap i Norge Tidsskr Nor Lægeforen 2002, 122: 1111 – 3.