Pasienter med traumatiske ryggmargsskader ved Nevrologisk avdeling, Haukeland Sykehus 1952 – 99
Nevrologisk avdeling, Haukeland Sykehus har helt fra åpningen i 1952 behandlet pasienter med traumatiske ryggmargsskader. Disse pasientene representerer store behandlings- og rehabiliteringsmessige utfordringer.
Det foreligger lite publiserte data om traumatiske ryggmargsskader i Norge, og det fulle omfanget av slike skader er ikke kjent. Gjone & Nordlie fant at i toårsperioden 1974 – 75 ble 65 pasienter med traumatiske ryggmargsskader og 66 med cauda equina-skader behandlet ved norske sykehus (1), noe som tilsvarer 16,5 skadede per million innbyggere per år. Ulike internasjonale kliniske og epidemiologiske undersøkelser viser til dels svært forskjellige resultater. En del studier er basert på pasientpopulasjoner fra enkeltsykehus, og er derfor ikke representative for alle ryggmargsskadede i vedkommende region.
Vi ønsker med denne studien å presentere kliniske funn og epidemiologiske data vedrørende pasienter med traumatiske ryggmargsskader innlagt ved Nevrologisk avdeling, Haukeland Sykehus for rehabilitering i tiden 1952 – 99.
Material og metode
Studien er retrospektiv og inkluderer alle pasienter med traumatisk ryggmargsskade innlagt ved Nevrologisk avdeling, Haukeland Sykehus i perioden 1952 – 99. Nevrologisk avdeling har hatt den vesentligste andel av de ryggmargsskadede pasientene i daværende helseregion 3 i denne perioden, men et mindre (og ukjent) antall pasienter er antakelig rehabilitert ved andre sykehus i regionen eller ved Sunnaas sykehus. Ved Nevrologisk avdeling ble det i mai 1998 åpnet en spesialenhet for rehabilitering av ryggmargsskadede med 12 senger. Denne enheten har regionsansvar for rehabilitering av ryggmargsskadede i denne helseregionen.
Totalt ble 580 pasienter med mulig ryggmargsaffeksjon innlagt i undersøkelsesperioden. 342 av disse ble ikke inkludert på grunn av ikke traumatisk myelopati; tumor (n = 28), patologiske frakturer (n = 13), peroperative komplikasjoner (n = 2), multippel sklerose (n = 22), ingen nevrologiske utfall (n = 48), kun skade av cervikale røtter (n = 11), syringomyeli (n = 9), dykkerskader (n = 4), samt pasienter med medfødte, degenerative eller vaskulære tilstander (n = 205).
Pasientenes journaler ble gjennomgått og følgende data ble registrert: kjønn, fødselsdato, skadedato, yrke, yrkesskade, skadeårsak, skadenivå både motorisk og sensorisk (i henhold til American Spinal Injury Association skåre – ASIA) (2) ved første innleggelse ved Haukeland Sykehus. Skadenivået er gitt ved det nederste intakte segment ved innleggelse.
Resultater
Figur 1 viser årlig antall pasienter med traumatiske ryggmargsskader behandlet ved avdelingen i perioden – til sammen 238 pasienter, hvorav 208 menn (87 %). Gjennomsnittlig antall pasienter per år var tre i perioden 1952 – 59 og åtte i perioden 1991 – 99. På skadetidspunktet var 160 pasienter (67 %) bosatt i Hordaland, 36 i Sogn og Fjordane (15 %), og 34 i Rogaland (14 %). Åtte pasienter (3 %) hadde bosted i andre fylker.
Median alder ved skade var 35 år (spredning 4 – 84 år), for menn 34 år og for kvinner 44 år. Figur 2 viser antall traumatiske ryggmargsskader i ulike aldersgrupper fordelt på kjønn. Gjennomsnittlig antall pasienter per år i aldersgruppen 11 – 30 år var 0,4 perioden 1952 – 59 og 4,0 i perioden 1995 – 99. Tilsvarende tall for aldersgruppen over 60 år var 1,0 og 4,8.
Hos 118 pasienter (50 %) var det initiale skadenivå cervikalt, hos 82 (34 %) torakalt og hos 38 (16 %) lumbalt. 92 pasienter (39 %) hadde skade i nivå C4+C5, og 44 (18 %) i T12 + L1. Andelen pasienter med høye cervikale og lave torakale skader økte den siste femårsperioden (fig 3). Blant pasientene over 70 år hadde 78 % cervikal skade.
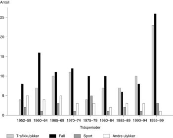
Totalt var 45 % av skadene forårsaket av fall og 35 % av trafikkulykker (tab 1), og disse andelene økte betydelig i 1990-årene (fig 4). Av 30 kvinner skadet i perioden 1952 – 99 ble 14 skadet ved fall, 11 i trafikken og fem ved skiulykker.
Tabell 1
Årsaker til traumatiske ryggmargsskader hos pasienter innlagt i perioden 1952 – 99
| Antall pasienter |
(%) |
|
| Fallulykker |
107 |
(45) |
| Trafikkulykker |
83 |
(35) |
| Bil |
38 |
|
| Motorsykkel |
23 |
|
| Sykkel |
14 |
|
| Fotgjenger |
8 |
|
| Bade-/stupeulykker |
10 |
(4) |
| Andre sportsulykker |
9 |
(4) |
| Vold |
4 |
(2) |
| Andre årsaker |
25 |
(11) |
| Totalt |
238 |
(101) |
Av de 107 pasientene som pådrog seg skade ved fall, var 21 over 65 år, og 67 % av disse fikk en cervikal skade. Median alder ved skade etter fall i samme plan (under 1 m) var 66,6 år, og ved fall over 5 m var median alder 33,5 år. Ved fall fra høyder 1 – 5 m var median alder 47,9 år. Ved fall over 5 m pådrog alle pasientene under 20 år seg lumbale skader, mens 29 % av pasientene i alderen 20 – 65 år fikk høy cervikal skade, 38 % lav torakal skade og 29 % lumbal skade.
Antall pasienter med skader forårsaket av bilulykker var sju i perioden 1990 – 94 og ti i perioden 1995 – 99, og antall pasienter med skader fra motorsykkel- eller sykkelulykker i de samme periodene var henholdsvis tre og 13. Av disse pasientene var 39 % fører og 61 % passasjer. Forholdet mellom antall skadede passasjerer og antall skadede sjåfører var 3 : 5 i perioden 1970 – 79 og 12 : 5 i perioden 1990 – 99. Median alder ved skade i bilulykker var 21,8 år, ved motorsykkelulykker 20,3 år, ved sykkelulykker 49,3 år. Ved bilulykker fikk 61 % av pasientene en cervikal skade, ved motorsykkelulykker 43 % og ved sykkelulykker 71 %. De høye cervikale skadene forårsaket av trafikkulykker var hyppigst i aldersgruppen 11 – 30 år (24 av 83).
Den gjennomsnittlige andelen yrkesskader (inkludert skader til og fra arbeid, samt skader i forbindelse med skolegang) frem til 1974 var 42 %, etter 1974 26 %. Det var spesielt antall skader forårsaket av fall som ble redusert, fra gjennomsnittlig 1,0 skade per år i perioden 1952 – 74, til gjennomsnittlig 0,6 per år i perioden 1975 – 99. Fiskere, bygningsarbeidere og gårdbrukere stod for 62 % av alle yrkesskadene.
Diskusjon
Denne studien viser at det har vært en klar økning i antall traumatiske ryggmargsskader behandlet ved Nevrologisk avdeling, Haukeland Sykehus etter 1995. Dette kan delvis skyldes åpningen av en egen spinalenhet ved Nevrologisk avdeling våren 1998. Hvorvidt færre pasienter er blitt rehabilitert ved andre institusjoner i samme periode, vet vi ikke.
Alders- og kjønnsfordelingen i denne studien er i samsvar med andre studier (1, 3 – 7). Aldersfordelingen er ikke vesentlig forskjellig fra studien til Gjone & Nordlie (1). I vårt materiale hadde 34 % av pasientene en torakal skade mot 26 % i materialet fra Gjone og Nordlie (1). Sammenliknet med en studie fra Danmark (8), var det i vårt materiale en høyere andel cervikale skader og en lavere andel lumbale skader. Cervikalcolumna og torakolumbalovergangen er de mest sårbare delene av ryggen (9). Samtidig med en økning i antall pasienter med høye cervikale og lave torakale skader i den siste femårsperioden, var det en økning i antall pasienter med skader fra fall og trafikkulykker.
Fall var årsak til skaden hos 45 % av pasientene, hvilket er høyere enn studier fra andre land (3 – 5, 8, 10 – 13). Maharaj (14) fant at mindre industrialiserte land som Fiji, India, Nigeria og Romania har høy frekvens av fallskader og lav frekvens av skader fra trafikkulykker.
I vår studie falt eldre pasienter fra lave høyder og fikk hyppigst høye cervikale skader. Dette er i samsvar med en studie fra USA (15). I motsetning til dette hadde de fleste pasientene under 20 år falt fra høyder over 5 m og pådratt seg lumbal skade.
Andelen fallskader var høyest i de eldste aldersgruppene. En studie fra USA viste økende forekomst av traumatiske ryggmargsskader ved fall hos pasienter over 65 år (4). Frekvensen av hyperekstensjonsskader øker med økende alder. Selv små traumer kan gi en ryggmargsskade hos eldre med cervikal stenose (15).
Trafikkulykkene utgjorde 35 % av alle skadene i vårt materiale, hvilket er lavere enn i studier fra Sverige (3), Danmark (8), USA (13) og Frankrike (16), men omtrent på samme nivå som i studier fra Italia (10) og Tyskland (17). Den lave andelen trafikkulykker kan muligens delvis forklares ut fra de geografiske forhold på Vestlandet, med til dels dårlige veier og lave hastigheter.
Om lag en tredel av skadene var yrkesrelaterte, noe som er høyere enn i de fleste andre studier (3, 6 – 7, 10, 17). Spesielt fiskere, gårdbrukere og kroppsarbeidere (bygningsbransjen) var rammet. Andre studier har funnet liknende resultater (6, 10). Den totale andel yrkesrelaterte traumatiske ryggmargsskader sank i undersøkelsesperioden. Nedgangen var større blant skadene forårsaket av fall enn blant traumatiske ryggmargsskader oppstått av andre årsaker. Dette kan ha sammenheng med arbeidsmiljøloven som kom i 1977, og kan gjenspeile økt bruk av sikkerhetstiltak ved arbeid over bakkenivå.
Studien viser at det fortsatt er behov for forebyggende arbeid mot skader, særlig blant eldre.
- 1.
Gjone R, Nordlie L. Incidence of traumatic paraplegia and tetraplegia in Norway: a statistical survey of the years 1974 and 1975. Paraplegia 1978; 16: 88 – 931.
- 2.
American Spinal Injury Association. Standard for neurological and functional classification of spinal cord injury 1996. Chicago: American Spinal Injury Association, 1996.
- 3.
Levi R, Hultling C, Nash MS, Seider Å. The Stockholm spinal cord injury study: 1. Medical problems in a regional SCI population. Paraplegia 1995; 33: 308 – 15.
- 4.
Acton PA, Farley T, Freni LW, Ilegbodu VA, Sniezek JE, Wohlleb JC. Traumatic spinal cord injury in Arkansas, 1980 to 1989. Arch Phys Med Rehabil 1993; 74: 1034 – 40.
- 5.
Chen HY, Chiu WT, Chen SS, Lee LS, Hung CI, Hung CL et al. A nationwide epidemiological study of spinal cord injuries in Taiwan from July 1992 to June 1996. Neurol Res 1997; 19: 617 – 22.
- 6.
Tator CH, Duncan EG, Edmonds VE, Lapczak LI, Andrews DF. Changes in epidemiology of acute spinal cord injury from 1947 to 1981. Surgical Neurology 1993; 40: 207 – 15.
- 7.
Campos da Paz A, Beraldo PSS, Almeida MCRR, Neves EGC, Alves CMF, Khan P. Traumatic injury to the spinal-cord-prevalence in Brazilian Hospitals. Paraplegia 1992; 30: 636 – 40.
- 8.
Biering-Sørensen E, Pedersen V, Clausen S. Epidemiology of spinal cord lesions in Denmark. Paraplegia 1990; 28: 105 – 18.
- 9.
Holmes A, Wang C, Han ZH, Dang GT. The range and nature of flexion-extension motion in the cervical spine. Spine 1994; 19: 2505 – 10.
- 10.
Palma V, Ambrosio G, Scarano E, Siano G, Sinisi L, Serra LL et al. Spinal cord injury: some epidemiological data. A review of 233 cases. Acta Neurol (Napoli) 1992; 14: 29 – 38.
- 11.
Karamehmetoglu SS, Unal S, Karacan I, Yilmaz H, Togay HS, Ertekin M et al. Traumatic spinal cord injuries in Istanbul, Turkey. An epidemiological study. Paraplegia 1995; 33: 469 – 71.
- 12.
DeVivo MJ. Causes and costs of spinal cord injury in the United States. Spinal Cord 1997; 35: 809 – 13.
- 13.
Price C, Makintubee S, Herndon W, Istre GR. Epidemiology of traumatic spinal cord injury and acute hospitalisation and rehabilitation changes for spinal cord injuries in Oklahoma, 1988 – 1990. Am J Epidemiol 1994; 139: 37 – 47.
- 14.
Maharaj JC. Epidemiology of spinal cord paralysis in Fiji: 1985 – 1994. Spinal Cord 1996; 34: 549 – 59.
- 15.
Spivak JM, Weiss MA, Cotler JM, Call M. Cervical spine injuries in patients 65 and older. Spine 1994; 19: 2302 – 6.
- 16.
Girard R, Boisson D, Depassio J, Boucand MH, Eyssette M. The female paraplegic: a statistical survey. Paraplegia 1983; 21: 149 – 53.
- 17.
Exner G, Meinecke FW. Trends in the treatment of patients with spinal cord lesions seen within a period of 20 years in German centres. Spinal Cord 1997; 35: 415 – 9.