Liestøl og medarbeidere (1) har gitt en oversikt over brysternæring i Norge fra 1860 til 1984. I hele perioden lå andelen mødre som begynte å amme uforandret på over 90 %. Frem til 1920 var andelen som ammet ved tre, seks og ni måneder hhv. omkring 80 %, 70 % og 60 %. Fra da av sank ammevarigheten til et lavmål omkring 1965, da ca. 30 %, 10 % og 5 % ammet ved hhv. tre, seks og ni måneder. Andelen som ammet ved 12 måneder lå inntil 1885 på omkring 50 %, og sank så til noen få prosent omkring 1960. Fra 1965 økte så ammevarigheten igjen, og i 1984 syntes varigheten av ammingen igjen å flate ut på ca. 80 %, 50 % og 30 % ved hhv. tre, seks og ni måneder. Årsakene til disse trender er komplekse, og gjenspeiler sannsynligvis mange endringer i samfunnet – som for eksempel flytting fra land til by, som bl.a. medførte mindre støtte fra familiemedlemmer med ammeerfaring, sentralisering av fødsler til større føde- og barselavdelinger med strikte, lite ammevennlige rutiner og ikke minst utvikling av kumelksbaserte erstatningsprodukter som det ble reklamert ivrig for. Opprettelsen av Ammehjelpen (2) bidrog vesentlig til økningen i amming etter 1965. Liestøl og medarbeidere (1) viste at gifte mødre fra høyere sosiale lag ammet lenger enn ugifte fra lavere sosiale lag.
Fra 1968 og utover i 1970-årene var det flere publikasjoner fra ulike områder i Norge (3 – 11) samt internasjonale publikasjoner (1, 12) som bekreftet at ammingen gikk sterkt tilbake. Flere pekte på tiltak som kunne øke ammevarigheten i Norge (3, 6, 13), og mange viste at enkle tiltak som endring av barselrutiner (8, 9) og bevisstgjøring og motivasjon (5, 7, 11) påvirket varigheten av ammingen positivt. Forholdene utenfor Norge var enda dystrere, antall mødre som ammet var lavere og oppsvinget i ammingen inntraff senere i 1970-årene og var tregere (1).
Med bakgrunn i den verdensomspennende nedgangen i amming og en erkjennelse av at rigide, ufysiologiske sykehusrutiner og mangelfulle kunnskaper om spedbarns behov var blant årsakene til dette, lanserte WHO/UNICEF tidlig i 1990-årene «The Baby-Friendly Hospital Initiative», som et verdensomspennende ammefremmende krafttak (14). Den norske oppfølgingen, mor-barn-vennlig initiativ, kom i gang høsten 1992 (14). Selv om forholdene i Norge var bedre enn i utlandet, ble det også hos oss påvist et stort forbedringspotensial (14, 15). Prosjektet hadde som overordnet mål å fremme amming og positivt samspill mellom mor og barn ved hjelp av omfattende tiltak på føde- og barselavdelinger, på neonatalavdelinger, ved helsestasjoner, i primærhelsetjenesten og blant allmennheten. For å bli erklært som mor-barn-vennlig måtte en fødeavdeling la seg evaluere etter visse regler, hvoretter en uavhengig godkjenningskomité foretok den endelige vurderingen (14). Regionsykehuset i Tromsø ble godkjent som et mor-barn-vennlig sykehus tidlig i 1996.
Vi ønsket å undersøke om innføringen av mor-barn-vennlig initiativ ved Regionsykehuset i Tromsø i perioden 1993 til 1996 har hatt innvirkninger på ammingen, og dessuten å studere hvilke faktorer utover dette som hadde betydning. Denne publikasjonen bygger på en studentoppgave i embetsstudiet i medisin ved Universitetet i Tromsø.
Materiale og metode
Helsekortene til to utvalg av neonatalt friske, fullbårne barn fra to årskull, født ved Regionsykehuset i Tromsø hhv. året før innføringen av mor-barn-vennlig initiativ ble påbegynt (1992) og året etter at Regionsykehuset i Tromsø ble godkjent som mor-barn-vennlig (1997) ble gjennomgått sommeren 1999. Barna fra de to årskullene var bosatt i de samme sentrale deler av Tromsø kommune, og ble fulgt ved de samme helsestasjonene. Her ble kartoteket med barnas helsekort for de respektive år gjennomgått. Statens helsetilsyn gav dispensasjon fra taushetsplikten, og helse- og sosialavdelingen i Tromsø kommune gav tillatelse til å samle inn data. Ledende helsesøstre ved de respektive helsestasjoner ble informert og gav sin tilslutning. Ingen personidentifiserbare data ble nedtegnet. For å kunne angi hvor stor andel av årskullene som inngikk i undersøkelsen, ble opplysning om antall fødte ved Regionsykehuset i Tromsø av mødre hjemmehørende i Tromsø i de to årene innhentet fra Medisinsk fødselsregister. De registrerte og analyserte variablene er anført i tabell 1. Foreldrenes utdanning og yrke var ikke konsekvent nedtegnet i barnas helsekort, men en kombinasjonsvariabel av disse ble etablert. Dataene ble samlet i Excel og analysert i SPSS eller Epi info. De statistiske metoder som er benyttet er khikvadrattest, variansanalyse, t-test og univariat og multippel regresjonsanalyse.
Tabell 1
Varighet (måneder) av fullamming og total ammeperiode
| N |
Fullamming gjennomsnitt (95 % KI) |
P |
Total ammeperiode gjennomsnitt (95 % KI) |
P |
|
| Alle mødre |
1 374 |
3,7 (3,6 – 3,8) |
8,6 (8,4 – 8,9) |
||
| Barnets kjønn |
1 372 |
0,731 |
0,751 |
||
| K |
672 |
3,8 (3,6 – 4,0) |
8,7 (8,3 – 9,0) |
||
| M |
700 |
3,6 (3,4 – 3,7) |
8,6 (8,3 – 8,9) |
||
| Paritet |
1 369 |
0,342 |
0,022 |
||
| 0 |
618 |
3,6 (3,4 – 3,7) |
8,5 (8,1 – 8,8) |
||
| 1 |
499 |
3,7 (3,5 – 3,9) |
8,5 (8,1 – 8,9) |
||
| 2 |
201 |
3,9 (3,5 – 4,3) |
9,1 (8,4 – 9,7) |
||
| 3+ |
51 |
3,8 (3,1 – 4,6) |
10,4 (8,8 – 12,0) |
||
| Mors sivilstatus |
1 366 |
0,062 |
0,001² |
||
| Enslig |
118 |
3,3 (2,9 – 3,8) |
7,7 (6,8 – 8,7) |
||
| Samboende |
700 |
3,7 (3,5 – 3,8) |
8,4 (8,0 – 8,7) |
||
| Gift |
536 |
3,8 (3,6 – 4,0) |
9,2 (8,8 – 9,6) |
||
| Skilt/separert |
12 |
– |
– |
||
| Mors utdanning/yrke |
1 082 |
< 0,001² |
< 0,001² |
||
| Lav |
227 |
3,0 (2,7 – 3,3) |
7,0 (6,4 – 7,5) |
||
| Middels |
392 |
3,4 (3,2 – 3,6) |
8,2 (7,8 – 8,7) |
||
| Høy |
463 |
4,3 (4,1 – 4,6) |
10,0 (9,6 – 10,4) |
||
| Fars utdanning/yrke |
1 081 |
< 0,001² |
< 0,001² |
||
| Lav |
240 |
3,1 (2,8 – 3,4) |
7,1 (6,5 – 7,6) |
||
| Middels |
390 |
3,6 (3,3 – 3,8) |
8,1 (7,7 – 8,5) |
||
| Høy |
451 |
4,1 (3,9 – 4,4) |
10,1 (9,7 – 10,5) |
||
| |||||
Resultater
Effekten av barnets fødselsår (hhv. før innføringen av mor-barn-vennlig initiativ (1992) og etter at fødeavdelingen var evaluert og erklært mor-barn-vennlig (1997)) og kjønn, mors paritet og sivilstatus, mors og fars alder og utdanning/yrkesstatus på hhv. varigheten av fullamming og den totale ammeperiode ble undersøkt i en multippel regresjonsanalyse (tab 2). Ammevarighet i forhold til yrke/utdanning ble analysert ved hjelp av konstruerte variabler, der kategorien «lav» (grunnskole/yrke med lavt utdanningskrav) ble brukt som referanseverdi. I tillegg ble fullamming lagt inn som uavhengig variabel i analysen av den totale ammeperiode. Fødselsår (p< 0,01) og høy utdanning (mor p< 0,01, far p = 0,03) påvirket signifikant og uavhengig varigheten av fullamming. Fødselsår (p< 0,01), mors alder (p < 0,01) samt høy utdanning (mor p< 0,01, far p< 0,01) influerte tilsvarende på den totale ammeperiode. Varigheten av fullamming påvirket den totale ammeperioden positivt (p< 0,01). Regresjonsmodellen forklarte 7 % og 30 % av variasjonen i hhv. varigheten av fullamming og den totale ammeperiode i materialet.
Tabell 2
Multippel lineær regresjonsanalyse. B er økning i ammevarighet (måneder) per enhet den angitte uavhengige variabel øker
| Uavhengig variabel |
Fullamming¹B (95 % KI) |
P |
Total ammeperiode¹B (95 % KI) |
P |
| Fødselsår 1997 versus 1992 |
0,53 (0,23 – 0,82) |
< 0,001 |
1,05 (0,58 – 1,53) |
< 0,001 |
| Mors alder (år) |
0,00 ( − 0,03 – 0,04) |
0,96 |
0,12 (0,08 – 0,17) |
< 0,001 |
| Mors utdanning/ |
yrke |
|||
| Lav² |
– |
– |
||
| Middels |
0,28 ( − 0,13 – 0,69) |
0,18 |
0,65 ( − 0,01 – 1,31) |
0,055 |
| Høy |
1,01 (0,57 – 1,45) |
< 0,001 |
0,98 (0,26 – 1,69) |
0,008 |
| Fars utdanning/ |
yrke |
|||
| Lav² |
– |
– |
||
| Middels |
0,29 ( − 0,12 – 0,70) |
0,16 |
0,33 ( − 0,33 – 0,98) |
0,33 |
| Høy |
0,49 (0,06 – 0,93) |
0,03 |
1,45 (0,75 – 2,15) |
< 0,001 |
| Fullamming md. |
– |
0,75 (0,64 – 0,85) |
< 0,001 |
|
| ||||
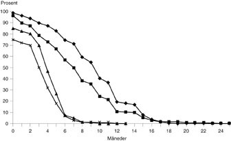
I tabell 3 sammenliknes data fra 1992 og 1997. Det ble født hhv. 1 000 og 914 barn fra Tromsø kommune ved Regionsykehuset i Tromsø i 1992 og 1997. Data for hhv. 653 (65,3 %) og 721 (78,9 %) barn ble registrert. Mors og fars alder (hhv. p< 0,01 og p = 0,03), deres utdanning/yrkesstatus (p< 0,01) og andelen mødre som ammet ved hjemreise fra fødeavdelingen (p< 0,01, oddsratio (OR) 3,2 (95 % KI 1,4 – 7,8) var signifikant høyere i 1997 enn i 1992. Likeledes var varigheten av fullamming (p< 0,01) og den totale ammeperiode (p< 0,01) signifikant lengre i 1997. Figur 1 viser andelen mødre som ammet i forhold til barnets alder i 1992 og 1997. Andelen som ammet ved tre måneder økte fra 79 % til 90 %, ved seks måneder fra 57 % til 74 %, ved ni måneder fra 35 % til 56 % og ved 12 måneder fra 11 % til 19 %.
Tabell 3
Forskjeller mellom populasjonene født i 1992 og 1997. Ammevarighet og alder er angitt som gjennomsnitt (95 % KI)
| N |
1992 |
1997 |
P |
Oddsratio (95 % KI) |
|
| Antall barn (n) |
1 374 |
653 |
721 |
||
| Antall ammende n (%) |
1 370 |
627/650 (96,5) |
712/720 (98,9) |
0,003² |
3,2 (1,4 – 7,8) |
| Fullamming (md.) |
1 362 |
3,3 (3,1 – 3,5) |
4,0 (3,9 – 4,2) |
< 0,001¹ |
|
| Total ammeperiode (md.) |
1 370 |
7,7 (7,3 – 8,0) |
9,5 (9,2 – 9,8) |
< 0,001¹ |
|
| Mors alder (år) |
1 372 |
28,7 (28,3 – 29,1) |
29,8 (29,5 – 30,2) |
< 0,001¹ |
|
| Fars alder (år) |
1 321 |
31,9 (31,5 – 32,4) |
32,7 (32,2 – 33,2) |
0,031 |
|
| Gutt/jente (%) |
1 372 |
47/53 |
55/45 |
0,012 |
|
| Paritet n (%) |
1 369 |
651 (100) |
718 (100) |
0,172 |
|
| 0 |
46 |
44 |
|||
| 1 |
37 |
36 |
|||
| 2 |
15 |
15 |
|||
| 3 |
2 |
4 |
|||
| Mors sivilstatus n (%) |
1 366 |
648 (100) |
718 (100) |
0,242 |
|
| Enslig |
9 |
8 |
|||
| Samboende |
49 |
53 |
|||
| Gift |
41 |
38 |
|||
| Skilt/separert |
1 |
1 |
|||
| Mors utdanning/yrke n (%) |
1 082 |
500 (100) |
582 (100) |
< 0,001² |
|
| Lav |
27 |
16 |
|||
| Middels |
36 |
36 |
|||
| Høy |
37 |
48 |
|||
| Fars utdanning/yrke n (%) |
1 081 |
502 (100) |
579 (100) |
< 0,001² |
|
| Lav |
28 |
17 |
|||
| Middels |
36 |
36 |
|||
| Høy |
36 |
46 |
|||
| |||||
Det ble registrert data om 1 374 barn (tab 1). Mors og fars alder ved barnets fødsel var gjennomsnittlig 29,3 år (95 % KI 29,0 – 29,6) og 32,6 år (95 % KI 32,0 – 32,7). Varigheten av amming i forhold til mors alder ble undersøkt i en univariat regresjonsanalyse. Varigheten av fullamming økte med gjennomsnittlig 0,03 måneder (95 % KI 0,01 – 0,06) for hvert år mors alder økte (p< 0,01). Tilsvarende økte den totale ammeperioden med gjennomsnittlig 0,20 måneder (95 % KI 0,16 – 0,25) per år mors alder økte (p< 0,01). I tabell 1 angis varigheten av hhv. fullamming og amming totalt for alle mødrene i forhold til barnets kjønn, mors paritet, mors sivilstatus og foreldrenes yrke/utdanning. Varigheten av fullamming økte signifikant med mors og fars utdanning/yrkesstatus (p< 0,01). De øvrige variablene influerte ikke signifikant på varigheten av fullamming. Den totale ammeperioden økte signifikant i forhold til mors paritet (p = 0,02) og sivilstatus (p< 0,01) samt mors og fars utdanning/yrkesstatus (p< 0,01). Post hoc-analyse med Bonferronis korreksjon for multiple sammenlikninger viste at mødre som fødte for fjerde gang eller mer ammet signifikant lenger enn første- (p = 0,03) og annengangsfødende (p = 0,03). Gifte mødre ammet signifikant lenger enn samboende (p < 0,01) og enslige (p< 0,01), mens samboende mødre ikke ammet signifikant lenger enn enslige (p = 0,1). Det var en sammenheng mellom varigheten av fullamming og total ammeperiode. For hver måned mor fullammet, økte den totale ammeperiode med gjennomsnittlig 0,88 m&ari
ng;neder (95 % KI 0,79 – 0,97).
Diskusjon
Hovedhensikten med denne undersøkelsen var å se på forhold som påvirket ammingen i populasjonen, og å finne ut om innføringen av mor-barn-vennlig initiativ ved Regionsykehuset i Tromsø hadde ført til at flere mødre ammet og om de ammet lenger etter at mor-barn-vennlig initiativ var tilfredsstillende etablert. Ved å gjennomgå barns helsekort ved de samme helsestasjonen før og etter innføring av mor-barn-vennlig initiativ håpet vi å avklare dette. Vi erfarte at helsesøstrene ikke alltid bruker helsekortet etter intensjonene. Data for røyking var ikke notert tilstrekkelig konsekvent til at røykingens betydning for amming kunne analyseres, og barnets eventuelle sykdommer i første leveår, hvorvidt barnet var i barnehage eller hos dagmamma, om mor eller far var hjemmeværende, yrkesaktive eller arbeidsløse og hvor lenge mor eller far hadde permisjon var variabler som heller ikke lot seg registrere i tilstrekkelig grad for analyse.
Opplysninger om foreldrenes utdanning og yrke var ikke godt nok registrert for vårt formål, men vi kunne konstruere en ny variabel på 79 % av materialet ved å slå sammen opplysninger om foreldrenes utdanning og yrke. Dette krevde noe bruk av skjønn, men vi antar at kategoriseringen av denne variabelen i «lav» (grunnskole/yrke med lavt utdanningskrav), «middels» (videregående skole/yrke med middels utdanningskrav) og «høy» (høyskole eller universitetsutdanning/yrke med krav til høy utdanning) deler materialet tilfredsstillende for formålet, nemlig å se på sammenhengen mellom amming og sosioøkonomisk status.
I tillegg til disse svakhetene vil vår metode heller ikke kunne avdekke andre faktorer og trender i samfunnet som kan ha påvirket ammingen. Vi vet heller ikke noe om naturlige svingninger i ammefrekvens og ammevarighet i årene før, under og etter perioden 1992 – 97. Ideelt sett burde det vært gjennomført en fortløpende prospektiv registrering av mange faktorer i årene før, under og etter at et prosjekt av denne størrelse gjennomføres for å belyse dets effekt.
Som vist i andre undersøkelser (1, 5 – 7, 11, 16 – 18) har mødrenes alder, deres sivilstatus, utdanning og yrkesstatus innvirkning på ammingen. Gifte kvinner i vårt materiale ammer signifikant lenger enn samboende og enslige, men sammenhengen forsvinner når man korrigerer for alder samt utdanning- og yrkesstatus i en multippel regresjonsanalyse. Likeledes har fedrenes innstilling til mødrenes amming betydning (9, 17, 19 – 23). Vi må anta at foreldrenes høyere alder og utdanning i 1997 har hatt betydning for deres entusiasme overfor mor-barn-vennlig initiativ, og at disse forhold har økt effekten av initiativet. At mødre som fullammer lenge har en lengre total ammetid, er også vist av andre (24). Liestøl og medarbeidere (1) fant en tendens til at mødrene ammet sitt andre barn lenger enn sitt første. Vi fant at mødre med fire eller flere barn ammet lenger enn første- og annengangsfødende. Også denne sammenhengen forsvant i den multiple regresjonsanalysen.
En høy andel mødre ble utskrevet ammende fra Kvinneklinikken på Regionsykehuset i Tromsø også før innføringen av mor-barn-vennlig initiativ. Slik har det vært i Norge minst siden 1860 (1). Men andelen som begynte å amme økte ytterligere, og varigheten av både fullammingen og den totale ammeperioden økte fra 1992 til 1997. I 1997 var andelene som ammet ved hhv. tre, seks og ni måneder på nivå med eller høyere enn andelene før 1920 (1), og andelen som ammet ved 12 måneder var lik den tilsvarende andel fra omkring 1930 (1). Hvorvidt mor-barn-vennlig initiativ alene har æren for dette, er usikkert.
Har det helsemessig betydning for barna at gjennomsnittlig varighet av fullamming og total ammeperiode har økt fra hhv. 3,3 til 4,0 måneder og fra 7,7 til 9,5 måneder, hvorav inntil hhv. 0,5 og 1,1 måneder av økningen muligens kan tilskrives mor-barn-vennlig initiativ? Det er påvist en positiv sammenheng mellom varighet av brysternæring og kognitive ferdigheter (16), nevromotorisk utvikling (32) og mental utvikling (33) hos barna. Amming antas også å ha betydning for å redusere grad av allergiske manifestasjoner. Slike forhold ligger bak erklært norsk ernæringspolitikk, som sier at spedbarn om mulig bør fullammes til 4 – 6 måneder, og fortsette å få morsmelk i tillegg til annen mat iallfall det første leveåret (14, 34).
Amming innebærer økonomiske fordeler for familiene og samfunnet. Etter Ammehjelpens (2) beregninger gir 1,1 måneder lengre ammetid ca. 440 000 kroner i sparte utgifter til sammen for familiene i vårt materiale. Samtidig spares trolig samfunnet for ca. 580 kg avfall. Det er også vist at morsmelk istedenfor morsmelkerstatning sparer utgifter for helsevesenet (35). Statens helsetilsyn har bevilget 3 685 000 kroner til mor-barn-vennlig initiativ (14). Dersom våre funn er representative for hele landet, og forutsatt at initiativet er hovedårsaken til økningen i ammingen, har man fått mye, både helsemessig og økonomisk, igjen for pengene.
Det er kjent at røykende mødre ammer kortere enn ikke-røykende (16, 19, 20, 25 – 28). Data om røyking i ammeperioden kunne ikke registreres i vårt materiale, men av pasientdatabasen ved Kvinneklinikken på Regionsykehuset i Tromsø, som ble innført i 1994, fremgår det at andelen fødende som røyker sank fra 39,6 % i 1994 til 29,2 % i 1997 (p< 0,01). Det er således sannsynlig at røyking blant mødrene i vårt materiale var betydelig mindre vanlig i 1997 enn i 1992, og at dette kan ha påvirket ammingen gunstig. Hvorvidt fødselspermisjonens lengde påvirker ammingen i særlig grad er uklart. Det er dokumentert at flere yrkesaktive enn hjemmeværende mødre ammer, også når permisjonstiden er gått ut, og yrkesaktive mødre ammer lenger enn hjemmeværende (6, 7, 9). Kvinnene som fødte i 1997, hadde fem uker lengre permisjon enn kvinnene som fødte i 1992 (økning fra 33 uker fra 1. april 1992 til 38 uker fra 1. april 1993, for detaljer se folketrygdlovens bestemmelser), men det er altså lite trolig at dette har medvirket til en lengre ammeperiode i 1997. Også ut fra kurvenes form (fig 1) kan vi anta at faktorer før eller tidlig i ammeperioden hovedsakelig er ansvarlig for lengre ammevarighet og ikke forhold som kan henføres til de fem siste ukene av fødselspermisjonen i 1997. Dette trekker i favør av mor-barn-vennlig initiativ som en betydelig årsaksfaktor, jf. tidligere arbeider, som nettopp påviser gunstige effekter på amming av forbedrede barselrutiner og bevisstgjøring og motivasjon av kvinnene i svangerskapet og i barseltiden (5, 7 – 9, 11, 17, 18, 29, 30) eller
senere (17, 31).
Konklusjon
Året etter at Kvinneklinikken på Regionsykehuset i Tromsø over en treårsperiode hadde innført mor-barn-vennlig initiativ og blitt erklært mor-barn-vennlig, økte antall mødre som begynte å amme og varigheten av ammingen signifikant i forhold til året før innføringen av mor-barn-vennlig initiativ ble påbegynt. Hvorvidt mor-barn-vennlig initiativ er hovedårsaken til økningene er uavklart. Andre faktorer som vi ikke har kunnskaper om, f.eks. reduksjon i andelen mødre som røyker, eller tilfeldige svingninger, kan også ha spilt en rolle.
- 1.
Liestøl K, Rosenberg M, Walløe L. Breast-feeding practice in Norway 1860 – 1984. J Biosoc Sci 1988; 20: 45 – 58.
- 2.
Helsing E. Boken om amming. Oslo: Gyldendal, 1995.
- 3.
Kåss A. Diegivningsevnen hos nåtidens mødre. Tidsskr Nor Lægeforen 1968; 88: 939 – 42.
- 4.
Endsjø T-Ø, Engeseth R. Spedbarnsernæring. En undersøkelse av 395 barn i første leveår. Tidsskr Nor Lægeforen 1973; 93: 693 – 7.
- 5.
Eggan G, Torp KH. Faktorer som influerer på brysternæring. Tidsskr Nor Lægeforen 1976; 96: 569 – 71.
- 6.
Frengen R, Joner G. En undersøkelse om amming. Tidsskr Nor Lægeforen 1976; 96: 577 – 9.
- 7.
Lichtenberg SM. Laktasjon. Tidsskr Nor Lægeforen 1977; 97: 514 – 5.
- 8.
Nilsson D, Hansen TI. Rutiner ved barselavdelingen og deres innvirkning på varighet av amming. Tidsskr Nor Lægeforen 1980; 100: 206 – 8.
- 9.
Årstad BH. Nye barselrutiner og amming. Tidsskr Nor Lægeforen 1981; 101: 319 – 23.
- 10.
Nesheim BI. Amming. I: Walløe L, red. Seksualitet, familieplanlegging og prevensjon i Norge. Oslo: Universitetsforlaget, 1978.
- 11.
Rom AK. Ammefrekvens i Tromsø. Hvilke forhold påvirker frekvensen? Tidsskr Nor Lægeforen 1981; 101: 1507 – 11.
- 12.
Sjölin S. Den låga amningsfrekvensen i Sverige – vad gör vi? Semper Nutritions symposium 9, Stockholm 4 maj 1973. Näringsforskning 1973; 8 (suppl): 103 – 10.
- 13.
Skard ÅG, Endsjø T-Ø, Busterud M, Helsing E, Pape K. Ammepraksis ved norske fødeavdelinger. Tidsskr Nor Lægeforen 1976; 96: 579 – 81.
- 14.
Mor-barn-vennlig initiativ i Norge. Prosjektrapport 1993 – 1996. Oslo: Statens helsetilsyn, 1996.
- 15.
Kumle M. Mor-barn-vennlig initiativ. 5.-årsoppgave. Tromsø: Det medisinske fakultet, Universitetet i Tromsø, 1994.
- 16.
Horwood LJ, Fergusson DM. Breastfeeding and later cognitive and academic outcomes. Pediatrics 1998; 101: E9.
- 17.
Kuan LW, Britto M, Decolongon J, Schoettker PJ, Atherton HD, Kotagal UR. Health system factors contributing to breastfeeding success. Pediatrics 1999; 104: E28.
- 18.
Riva E, Banderali G, Agostoni C, Silani M, Radaelli G, Giovannini M. Factors associated with initiation and duration of breastfeeding in Italy. Acta Paediatr 1999; 88: 411 – 5.
- 19.
Rogers IS, Emmett PM, Golding J. The incidence and duration of breast feeding. Early Hum Dev 1997; 49: S45 – 74.
- 20.
Scott JA, Binns CW. Factors associated with the initiation and duration of breastfeeding: a review of the literature. Breastfeed Rev 1999; 7: 5 – 16.
- 21.
Bar-Yam NB, Darby L. Fathers and breastfeeding: a review of the literature. J Hum Lact 1997; 13: 45 – 50.
- 22.
Arora S, McJunkin C, Wehrer J, Kuhn P. Major factors influencing breastfeeding rates: mothers perception of fathers attitude and milk supply. Pediatrics 2000; 106: E67.
- 23.
Scott JA, Aitkin I, Binns CW, Aroni RA. Factors associated with the duration of breasfeeding amongst women in Perth, Australia. Acta Paediatr 1999; 88: 416 – 21.
- 24.
Hill PD, Humenick SS, Brennan ML, Woolley D. Does early supplementation affect long-term breastfeeding? Clin Pediatr (Phila) 1997; 36: 345 – 50.
- 25.
Horta BL, Victora CG, Menezes AM, Barros FC. Environmental tobacco smoke and breastfeeding duration. Am J Epidemiol 1997; 146: 128 – 33.
- 26.
Ratner PA, Johnson JL, Bottorff JL. Smoking relapse and early weaning among postpartum women: is there an association? Birth 1999; 26: 76 – 82.
- 27.
Hornell A, Aarts C, Kylberg E, Hofvander Y, Gebre-Medhin M. Breastfeeding patterns in exclusively breastfed infants: a longitudinal prospective study in Uppsala, Sweden. Acta Paediatr 1999; 88: 203 – 11.
- 28.
Haug K, Irgens LM, Baste V, Markestad T, Skjærven R, Schreuder P. Secular trends in breastfeeding and parental smoking. Acta Paediatr 1998; 87: 1023 – 7.
- 29.
Vogel A, Hutchison BL, Mitchell EA. Factors associated with the duration of breastfeeding. Acta Paediatr 1999; 88: 1320 – 6.
- 30.
Howard CR, Howard FM, Lanphear B, deBlieck EA, Eberly S, Lawrence RA. The effects of early pacifiers use on breastfeeding duration. Pediatrics 1999; 103: E33.
- 31.
Morrow AL, Guerrero ML, Shults J, Calva JJ, Lutter C, Bravo J et al. Efficacy of home-based peer counselling to promote exclusive breastfeeding: a randomised controlled trial. Lancet 1999; 353: 1226 – 31.
- 32.
Vestergaard M, Obel C, Henriksen TB, Sørensen HT, Skajaa E, Ostergaard J. Duration of breastfeeding and developmental milestones during the latter half of infancy. Acta Paediatr 1999; 88: 1327 – 32.
- 33.
Paine BJ, Makrides M, Gibson RA. Duration of breastfeeding and Bayleys mental developmental index at 1 year of age. J Paediatr Child Health 1999; 35: 82 – 5.
- 34.
Statens ernæringsråds anbefalinger for spedbarnsernæring. Oslo: Statens ernæringsråd, 1994.
- 35.
Ball TM, Wright AL. Health care costs of formula-feeding in the first year of life. Pediatrics 1999; 103: 870 – 6.