Når vil mammografiscreening gi redusert brystkreftdødelighet?

    ()

    sporsmal_grey_rgb
    Abstract

    I Norge er det bestemt at man skal starte med masseundersøkelser med mammografi (mammografiscreening). En tredel av befolkningen har deltatt i en pilotstudie.

    I forbindelse med innføring av masseundersøkelser med mammografi i Norge hevdes det at dødeligheten vil synke med minst 30 % blant dem som kalles inn til masseundersøkelser, men at man ikke kan si noe sikkert om dødeligheten vil falle i Norge før etter ti år med screening for brystkreft.

    Vi antar at det er 80 % av maksimal effekt av slike masseundersøkelser på dødelighetsrater i aldersgruppen 50 – 74 år etter ti år med screening. Vi simulerer forandringen i norske dødelighetsdata under antakelsene om at mammografi reduserer dødeligheten med 15 % og 30 % i aldersgruppen 50 – 69 år. Vi simulerer også effekten i den norske pilotstudien.

    Vi mener man bør kunne se fall i dødelighet allerede etter fem år dersom reduksjonen i dødelighet er så stor som det hevdes. Dette vises med binomisk simulering av dødelighetstall, der parameterne er estimert ut fra dødelighetstall og brystkrefttall i Norge. Vi mener også at det er mer fornuftig og enklere å analysere dødeligheten i den norske pilotstudien istedenfor å studere diameter på svulster.

    Hvis reduksjonen i dødelighet er 50 % som Kreftregisteret har hevdet, burde man se det etter 2001 i prøveprosjektet.

    Vi mener at det er en vitenskapelig selvmotsigelse å hevde at mammografi reduserer dødeligheten med 30 % i Norge, men at man ikke kan si noe sikkert før etter ti år.

    Verken Sverige, Finland eller England og Wales er i nærheten av å observere en 30 % reduksjon i dødelighet etter 9 – 10 år med screening.

    Vi mener også at det er sterke empiriske data for å hevde at det er urimelig å hevde at mammografi reduserer dødeligheten med 30 %.

    Abstract

    Background

    . Norwegian authorities have decided to start a mass mammography screening programme. One third of the population has been included in a pilot study from 1996. The Cancer Registry of Norway maintains that there will be at least a 30 % reduction in mortality, but that an effect may not be detected until the ten-year follow-up.

    Methods

    . We assume that the effect of mammography screening is constantly increasing over a ten-year period before maximum effect is reached. We also assume that the effect of screening in the age group 50 – 74 years is 80 % of maximum effect. We simulate Norwegian breast cancer mortality rates under the assumption that mammography screening reduces breast cancer mortality in the age group 50 – 69 years with 15 % and 30 % effects, respectively. We also simulate 30 % and 50 % effect in the pilot study.

    Results

    . If the effect in the Norwegian population is 30 %, one may expect to see a significant decline after five years; however, if the effect is only 15 %, one has to wait for a longer time. If the effect is 50 %, as the Cancer Registry of Norway has argued, one should see a significant effect in the pilot study after six years.

    Conclusions.

    We think it a contradiction to argue that mammography screening reduces breast cancer mortality by 30 %, but that one has to wait ten years to observe an effect on national mortality rates. We suggest that the breast cancer mortality rate in the pilot study is estimated. We also argue that observed reductions of less than 10 % in Sweden, Finland and England are strong evidence that the effect of mammography today is far less than 30 %.

    Artikkel

    Moderne masseundersøkelser med mammografi er i hovedsak basert på den svenske WE-studien (1). Mange har stilt spørsmål ved mammografiscreening fordi dødeligheten av brystkreft ikke har sunket etter 13 år med masseundersøkelser i Sverige, mens det var en 30 % reduksjon i WE-studien etter sju års oppfølging (2 – 4).

    Flere land startet med mammografiscreening mellom 1986 og 1990. Det er imidlertid ingen systematisk forskjell i utvikling av brystkreftdødelighet i de land der man startet sammenliknet med dem der man ikke startet med slike masseundersøkelser. Fra England er det rapportert om 6,4 % reduksjon i dødelighet etter ni år med mammografiscreening (5), men det rapporteres også om tilsvarende fall i dødelighet i land uten masseundersøkelser med mammografi (6). Mange hevder dessuten at synkende rater de siste ti år først og fremst kan tilskrives bruk av tamoksifen i behandlingen av brystkreft (5).

    I flere år er Socialstyrelsen, som administrerer masseundersøkelsene i Sverige, blitt spurt om når man forventer å se et fall i dødelighet i Sverige. Det ble først sagt etter sju år, deretter etter ti år, men de siste to årene har man ikke villet svare på dette (4).

    Det er blitt foreslått at en mulig årsak til at dødeligheten ikke falt, var at det var noe galt med de svenske randomiserte studiene (3). Gøtzsche & Olsen (7) ved Cochrane-senteret i København fikk i oppdrag av Statens Institut for Medicinsk Teknologivurdering å studere kvaliteten på de randomiserte mammografistudiene. De påpekte at seks av åtte mammografistudier feilaktig gav seg ut for å være randomiserte uten at de var det, og at det i stor grad ikke var gjort rede for hvordan kvinner var ekskludert fra studiene. De to studiene som var randomiserte, viste derimot ingen effekt av mammografi. Gøtzsche & Olsen (7) påpekte også at bare tre, muligens fire, av åtte randomiserte studier viste signifikant reduksjon i dødelighet av brystkreft ved screening og at dette ofte ble utelatt i debatten.

    WE-studien er spesielt blitt kritisert fordi man ikke vil eller ikke kan gjøre rede for hvordan fordelingen av sosioøkonomiske grupper var i gruppen som fikk mammografi og i kontrollgruppen til tross for gjentatte oppfordringer (7, 8). Det er vist at en skjev fordeling av alder og sosioøkonomiske faktorer mellom gruppen som fikk mammografi og kontrollgruppen kan forklare mye av forskjellen i noen studier (7). Forskjellige publikasjoner basert på data fra WE-studien viser dessuten forskjellige antall individer som er med i studien og forskjellige antall krefttilfeller (1, 9, 10). Norge har hatt et prøveprosjekt med mammografi i fire fylker (Akershus, Hordaland, Oslo og Rogaland) fra 1996. Dette prosjektet ble administrert av Kreftregisteret og prosjektet er også evaluert av Kreftregisteret i en rapport som nylig ble publisert (11).

    Kreftregisteret hevder at dødeligheten vil synke med minst 30 % blant dem som kalles inn, men at man ikke kan si noe sikkert om dødeligheten vil falle i Norge før etter ti år med screening for brystkreft. Vi skal her vise at en stor reduksjon i dødelighet som ikke kan påvises før etter ti år, er en selvmotsigende påstand når man snakker om masseundersøkelser med mammografi. Vi mener at dødeligheten i pilotprosjektet kan analyseres allerede etter år 2001. Vi påpeker også at når verken Sverige, Finland, eller England og Wales er i nærheten av å observere en 30 % reduksjon i dødelighet, bør man kanskje være forsiktig med å hevde at man vil gjøre det i Norge.

    Materiale og metode

    Materiale og metode

    Vi studerte brystkreftdødelighet i aldersgruppen 50 – 74 år i våre beregninger. I 1997 var det 1 325 kvinner i denne aldersgruppen som fikk brystkreft. Prevalensen er atskillig høyere. Gjennomsnittlig antall brystkreftdødsfall i perioden 1992 – 96 var 358. Femårs relativ overlevelsesrate har økt svakt fra 0,74 til 0,76 i perioden 1979 – 93 (12). Det betyr at rundt hver fjerde kvinne med brystkreft dør i løpet av fem år.

    Antall brystkreftdødsfall i aldersgruppen 50 – 74 år i perioden 1988 – 97 er 375, 375, 375, 334, 355, 356, 359, 344, 376 og 333. Observert standardfeil er 17,0.

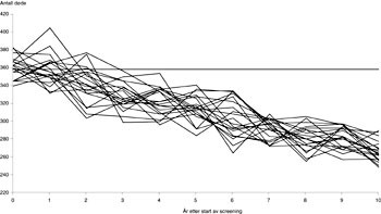
    Den teoretiske standardfeilen i våre simulerte dødelighetstall er 16,16, som er tilnærmet likt observert standardfeil i tiårsperioden 1988 – 97. Dataene i figur 1 er simulert med statistikkprogrammet SPSS versjon 10.0 (13) fra en binomisk fordeling med parametere pt og n, der pt = p₀ × (1 − [_/10] × 0,8 × t), hvor t er år ε [1,10] og _ er ”sann” dødelighetsreduksjon i løpet av ti år og n = 1 325. For hvert år, er det simulert 20 dødelighetstall. Allerede ved 20 simuleringer kommer trendene klart frem, og alle konfidensintervaller er beregnet nøyaktig fra den binomiske fordelingen, så det er unødvendig med flere enn 20 simuleringer.

    Vi antar at dødelighetsraten er konstant synkende. Dette er en konservativ antakelse. Hvis man antar at n nye individer diagnostiseres hvert år, så er andelen av dødsfall hvert år som har vært med i masseundersøkelsen en asymptotisk voksende funksjon mot 1. Allerede etter ti år er nærmere 100 % av alle observerte dødsfall individer som har vært med i masseundersøkelsen. Dette ser man f.eks. ved å regne ut antall dødsfall etter ett år som er d(1) = n × ν (1), hvor ν (1) er årsaksspesifikk dødelighet første året etter diagnose. Antall døde i år t som har vært med i masseundersøkelsen er gitt ved d(t) = [n − D(t-1)] ν (t). Her er D(t-1) = d(1) + d(2) + + d(t-1). Man regner ut ν (t) ved å derivere logaritmen til den relative overlevelsesrate. Man får da at D(t)/Dt går asymptotisk mot 1, hvor er Dt totalt antall døde i år t. Når man reduserer D(t) med 30 % for hvert år, blir observert dødelighetstall en konkav funksjon.

    Et intervall som omfatter 95 % av observasjonene beregnes nøyaktig fra den binomiske fordelingen. F.eks. etter fem år er p = 0,238, dersom reduksjonen er 25 % etter ti år. SPSS og andre statistikkprogrammer beregner da nøyaktig grensene a og b: P(a £ x £ b 5 0,238, n = 1 325) = 0,95.

    De aller fleste av dem som dør i et gitt år, er diagnostisert året før eller enda tidligere. Derfor tar det mange år før man ser effekt av mammografiscreening i dødelighetsdata i en befolkning. Sjönell & Ståhle har regnet ut det tar under ti år før man når maksimal effekt av mammografiscreening i aldersgruppen 50 – 78 år (14). Dette er også i samsvar med hva Day regnet ut i 1989 (15). Vi antar derfor at man etter ti år i aldersgruppen 50 – 74 år skal se 80 % av det som er maksimal effekt av masseundersøkelser i aldersgruppen 50 – 69 år. Hvis man antar at effekten av mammografi i aldersgruppen 50 – 69 år er henholdsvis 15 %, 30 %, og 50 % skal man etter ti år se fall på 12,5 %, 25 % og 40 % i nasjonale dødelighetsrater for aldersgruppen 50 – 74 år.

    Resultater

    Resultater

    I figur 1 viser vi resultatene av 20 simuleringer med 25 % reduksjon over ti år. Forventet antall døde er 358 dersom det ikke er noen reduksjon i dødeligheten. Vi ser at allerede etter fem år viser alle simuleringene et fall. Et 95 % intervall for antall døde etter fem år, gitt at det er 25 % reduksjon i dødeligheten over ti år, regner vi ut til (282 – 343). Intervallet etter ti år er (239 – 297). Sannsynligheten for at det skal være mindre enn 10 % reduksjon i dødelighet, gitt at det er 25 % reduksjon etter ti år, er 0,00019. Allerede etter 5 – 6 år kan man med stor sikkerhet si om det er noen reduksjon i dødelighet. Gitt at det er 12,5 % reduksjon i dødeligheten etter ti år, blir intervallet som inneholder 95 % av observasjoene etter fem år (304 – 366). Etter ti år er intervallet (282 – 343). I denne modellen må man vente ti år før man ser noen sikker effekt.

    I pilotprosjektet studerte man effekten av mammografi i fire fylker med til sammen 1 765 000 innbyggere i perioden 1996 – 99. Gjennomsnittlig antall brystkrefttilfeller i perioden 1993 – 97 var 938 i disse fylkene, hvilket reduseres til 540 i aldersgruppen 50 – 74 år. Det forventede antall døde blir 146 med p = 0,27. Etter fem år skulle man kanskje se noe her? Etter fem år, gitt at det er 25 % reduksjon i dødeligheten etter ti år, inneholder intervallet (108 – 147) 95 % av observasjonene. Etter seks år er intervallet (105 – 143). En 40 % reduksjon etter ti år tilsvarer en målsetting på 50 % reduksjon i aktuelle aldersgruppe. Sannsynligheten for at det skal være mindre enn 10 % reduksjon i dødelighet etter fem år, gitt at reduksjon i dødelighet er 25 % etter ti år, er 0,075. Etter seks år er sannsynligheten statistisk signifikant og 0,0189.

    Diskusjon

    Diskusjon

    I Norge hevdes det at mammografiscreening må pågå i minst ti år før man ser noen sikker effekt på dødelighet av brystkreft. Vi hevder at det er en vitenskapelig selvmotsigelse samtidig å si at dødeligheten synker med minst 30 %. I Sverige så man en sterk signifikant reduksjon av dødelighet i en populasjon på 135 000 etter fem år, hvorav bare 77 000 fikk tilbud om mammografi. Det er 450 000 kvinner i aldersgruppen 50 – 69 år i Norge som nå får tilbud om mammografi. Standard teori om den binomiske fordeling (16) viser at når man øker populasjonen, blir det lettere å oppdage forandringer i en dødelighetsrate.

    I Norge har man et nasjonalt mammografiregister, hvilket gjør at man kan analysere dødelighet uten såkalte fortynningseffekter. Våre simuleringer blir derfor konservative estimater i forhold til statistiske analyser av det norske prøveprosjektet. Vi mener at sammenlikning av median diameter på svulster og andelen uten spredning med resultatene i den 20 år gamle WE-studien ikke kan brukes for å predikere dødelighet i de norske masseundersøkelsene. BMJ har i en lederartikkel (17) også etterspurt en analyse av brystkreftdødelighet hos dem som deltok i det norske screeningprogrammet.

    Våre enkle beregninger kan også brukes til å stille spørsmål ved nytten av screening ved å analysere dødeligheten i flere land samtidig. I Finland startet man med mammografiscreening i perioden 1987 – 90. Aldersspesifikke dødelighetsrater i Finland var uforandret frem til 1997 (18). I England startet man med masseundersøkelser i perioden 1988 – 95 (5), og her ble det estimert 6,4 % reduksjon i dødelighet basert på relativt kort oppfølging, og en statistisk modellering som kan diskuteres.

    Sannsynligheten for at det skal være mindre enn 10 % observert effekt i noen av landene Sverige, Finland eller England og Wales etter ti år, er vesentlig mindre enn (0,00019)³ hvis den sanne effekten er 25 % etter ti år. Hva hvis den sanne effekten er 12,5 %? Da er sannsynligheten vesentlig mindre enn (0,26)³ = 0,018. Det faktum at man ikke ser mer enn 10 % effekt i noen land etter 9 – 10 år med masseundersøkelser, er et meget kraftig vitnesbyrd om at her er det noe galt med den forutgående medisinske forskning, eller at dagens diagnostikk og behandling er så mye bedre at resultatene i den 20 år gamle WE-studien er misvisende.

    Man kan diskutere valg av simuleringsmetode. Vi mener at så lenge standardavvik i simulerte data er lik standardfeil i observerte rater, har man en rimelig god modell. Man kan også diskutere valg av parameteren p. Andre verdier i området 0,20 til 0,35 gir ikke vesentlig forskjellige resultater.

    En hyppig innvending mot slike analyser som over, er at nasjonale dødelighetstall for aldersgruppen 50 – 74 år inneholder data fra individer som ble diagnostisert før de var 50 og eventuelt fra individer som ikke var med i masseundersøkelsen. Dette argumentet er spesielt brukt mot Sjönell & Ståhle (3), som regnet ut at det var ingen signifikant effekt av screening i 17 svenske landsting (tilsvarer norske fylker) som hadde hatt slike masseundersøkelser. Dette argumentet forstår vi ikke helt. Man kan lett korrigere for at data er fortynnet med individer som ikke har deltatt i masseundersøkelsen, og dette er uavhengig gjort av både Day og medarbeidere (15) og av Sjönell & Ståhle (14). Dessuten, hvis man mener at dette er et problem, kan man i stedet se på konfidensintervallet rundt raten etter 11 år, som også er oppgitt av Sjönell & Ståhle (3). Vi studerer ikke kumulative rater, og vi korrigerer for denne type problemer ved å anta at det er 80 % av maksimal effekt etter ti år.

    Vi konkluderer med at det er en vitenskapelig selvmotsigelse å hevde at dødeligheten synker med 30 % eller mer, men at man ikke kan si noe sikkert før etter ti år. Dessuten, hvis det hadde vært noen stor effekt av masseundersøkelser med mammografi, tror vi man hadde sett dette for lenge siden i noen av de landene som har hatt slike masseundersøkelser i ti år eller lenger. Vi og andre (17) savner også en analyse av dødelighet hos dem som deltok i det norske screeningprogrammet.

    Kommentarer  ( 0 )

    Anbefalte artikler