Behandling av falsk krupp med racemisk adrenalin

    ()

    sporsmal_grey_rgb
    Artikkel

    Racemisk adrenalin, som inneholder like deler D- og L-adrenalin, har de siste 25 – 30 årene inngått i behandlingen av moderate og alvorlige tilfeller av falsk krupp. Vanlig adrenalin 1 mg/ml til injeksjon er rent L-adrenalin, som er den naturlig forekommende formen. L-adrenalin er 30 ganger så aktivt som D-adrenalin. I randomiserte studier har racemisk adrenalin verken bedre effekt eller mindre bivirkninger enn L-adrenalin. Det er derfor ingen grunn til å bruke et uregistrert preparat som racemisk adrenalin til behandling av falsk krupp.

    Falsk krupp (pseudokrupp) er et samlebegrep for flere sykdommer som er karakterisert av heshet, gjøende hoste og inspiratorisk stridor. Symptomene er forårsaket av ødem i larynx og trachea, som regel utløst av en virusinfeksjon. Barn i alderen  – 6 år er oftest affisert. Sykdommen er som regel selvbegrensende og godartet, men det kan være nødvendig med medikamentell behandling. Sykehusinnleggelse kan være nødvendig, og i svært alvorlige tilfeller er oksygentilførsel, intubasjon og respiratorbehandling påkrevd.

    Behandlingen av falsk krupp går først og fremst ut på å redusere luftveisobstruksjonen og respirasjonsproblemene som følge av inflammasjon og ødem. I de fleste tilfeller kan behandlingen foregå i hjemmet. I lette tilfeller er det ofte tilstrekkelig å ta barnet opp av sengen for å redusere det hydrostatiske trykket i slimhinnen. Man har tidligere også trodd at fukting og avkjøling av inspirasjonsluften har en gunstig virkning, men det ikke har vært mulig å bekrefte det i randomiserte studier (1). Neste trinn er farmakologisk behandling med sympatikomimetika og eventuelt glukokortikoider (2). De siste 25 – 30 år har behandlingen med sympatikomimetika vært ensbetydende med inhalasjon av racemisk adrenalin (2). Effekten av denne behandlingen fremfor behandling med andre sympatikomimetika er imidlertid dårlig dokumentert.

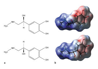
    Adrenalin finnes i to isomere former: L-adrenalin og D-adrenalin (fig 1). L-adrenalin er det naturlig forekommende, og det er 30 ganger så aktivt som D-adrenalin. En racemisk blanding inneholder like deler D- og L-adrenalin, mens vanlig adrenalin til injeksjon er rent L-adrenalin, vanligvis i konsentrasjon 1 mg/ml. Racemisk adrenalin til inhalasjon fås vanligvis i konsentrasjon 22,5 mg/ml, noe som er ekvivalent med rent L-adrenalin i en konsentrasjon på 11,3 mg/ml. Medikamentet absorberes raskt fra luftveiene ved inhalasjonsbehandling.

    Adrenalin har noe større affinitet til adrenerge betareseptorer enn alfareseptorer. Den slimhinneavsvellende effekten er sannsynligvis den viktigste komponenten og medieres via alfareseptorer. I kliniske og eksperimentelle undersøkelser har man hatt god klinisk effekt av rene alfareseptoragonister (3). Oxymetazolin er en ren alfaagonist med virkningstid på 6 – 12 timer (muligens mer) som finnes i vanlige nesedråper (Iliadin og Rhinox). Det er uklart om rene alfareseptoragonister har like god effekt som L-adrenalin, noe man først vil kunne avgjøre gjennom randomiserte studier.

    β₂-reseptorstimulering vil gi bronkiedilatasjon. Man får imidlertid også stimulering av β₁-reseptorer, noe som kan gi betydelige kardiovaskulære bivirkninger (takykardi, høyt blodtrykk). Det teoretiske grunnlaget for å bruke racemisk adrenalin istedenfor vanlig L-adrenalin er at en del av hjertets β₁-reseptorer vil bindes av det mindre potente D-adrenalin. Dermed vil færre β₁-reseptorer være tilgjengelige for L-adrenalin og derfor gi færre kardiovaskulære bivirkninger. Man får en delvis betablokade (4). Produktbeskrivelsen av Vaponefrin inhalasjonsvæske angir at virkestoffet racemisk adrenalin har alfa- og β₂-stimulerende effekt, mens β₁-stimuleringen er mindre uttalt (5). Det har aldri vært vist at dette virkelig er tilfellet. Da forstøverbehandling med racemisk adrenalin ved falsk krupp ble introdusert, registrerte man god effekt sammenliknet med placebo (6). Sammenlikning med rent L-adrenalin ble imidlertid ikke gjort før senere.

    Racemisk adrenalin har ikke vært like tilgjengelig som rent L-adrenalin (7). Det har vært forsøkt vanlig L-adrenalin i behandlingen av falsk krupp, med god klinisk effekt i kasuistiske rapporter (8). Som ved bruk av racemisk adrenalin er effekten kortvarig, med maksimal effekt etter 30 minutter og med en varighet på omtrent to timer. Randomiserte studier der man har sammenliknet forstøverbehandling med L-adrenalin og racemisk adrenalin har ikke kunnet vise noen forskjell i effekt på luftveissymptomer og kardiovaskulære bivirkninger (7, 9). På grunn av praktiske forhold ved utblandingen har dosen av L-adrenalin vært 12 % høyere ved bruk av racemisk adrenalin i de randomiserte studiene. Disse undersøkelsene har vist at racemisk adrenalin ikke er bedre enn rent L-adrenalin i behandlingen av falsk krupp, og at tilstedeværelsen av D-adrenalin ikke har klinisk effekt av betydning. Racemisk adrenalin gir verken bedre effekt eller mindre bivirkninger (7, 9).

    Dosering

    Dosering

    I Norge ble racemisk adrenalin (Vaponefrin) avregistrert i 1997, men det brukes fortsatt hyppig (10). Man kan få preparatet på registreringsfritak eller laget på apotek. På registreringsfritak får man Micronefrin (Bird Corporation, California, USA) 22,5 mg/ml. Ullevål sykehusapotek lager racemisk adrenalin 20 mg/ml. Flere sykehus i Norge har begge preparater. I langt de fleste tilfeller doseres medikamentet i volum (ml) og ikke i vekt (mg). Det er uheldig at man har to preparater med ulik konsentrasjon, noe som kan gi ulik dose avhengig av hvilket preparat man bruker. Samtidig er det uheldig å bruke et medikament tatt inn på registreringsfritak når det ikke har noen dokumentert effekt utover det et registrert preparat har. Problemet kan unngås ved å bruke adrenalin 1 mg/ml, som har samme effekt- og bivirkningsprofil. Vanlig dosering av racemisk adrenalin 22,5 mg/ml er ca. 0,1 – 0,2 ml per 10 kg i 2 ml 9 mg/ml NaCl, dvs 2,2 – 4,5 mg/kg eller 1,1 – 2,1 mg/kg av L-adrenalin. Tilsvarende dose adrenalin 1 mg/ml blir dermed 1 – 2 mg (=1 – 2 ml)/10 kg.

    Det er rapportert flere tilfeller av feiladministrering av racemisk adrenalin, der preparatet er blitt gitt intravenøst (11). Man vil ikke eliminere slik feilbruk ved å ta i bruk vanlig L-adrenalin til injeksjon, men dosen vil bli mye mindre pga. den store forskjellen i konsentrasjon. Man må likevel presisere viktigheten av nøyaktig merking av sprøyter og tilfredsstillende medikamentrutiner, spesielt i akuttsituasjoner.

    Spalten er redigert av Olav Spigset i samarbeid med Avdeling for legemidler ved Regionsykehuset i Trondheim og de øvrige klinisk farmakologiske miljøene i Norge

    Kommentarer  ( 0 )

    Anbefalte artikler