Erfaringer med bruk av skåringssystemene SAPS II og NEMS i virksomhetsregistrering i en intensivavdeling

    ()

    sporsmal_grey_rgb
    Abstract

    Intensivbehandling er kostbart og det er mangel på intensivplasser. Det er derfor viktig å kartlegge alvorlighetsgraden av pasientenes sykdommer og skader og hvordan en intensivavdeling bruker sine ressurser.

    Vi har anvendt skåringssystemene SAPS II (Simplified Acute Physiology Score II) for alvorlighetsgrad og NEMS (Nine Equivalents of Nursing Manpower Use Score) for ressursbruk ved Postoperativ/Intensivavdelingen, Ullevål sykehus, i perioden mars 1996 til oktober 1999.

    Vi fant sammenheng mellom alvorlighetsgrad av sykdom og mortalitet og mellom alvorlighetsgrad og ressursbruk. Liggetiden økte med SAPS II-skåre inntil 40 – 50, for deretter å avta med økende skåre. Det var ingen ukedager eller perioder med lav aktivitet, men stor forskjell i ressursbruk for ulike hovedtyper innleggelse, der øyeblikkelig hjelp-kirurgi dominerte. Pasienter med traumer og opererte for hjerte- og karsykdom var mest ressurskrevende. Basal monitorering, intravenøs medisinering og mekanisk ventilasjon utgjorde 79 % av totale NEMS-poeng.

    Registreringene med systemene SAPS II og NEMS har gitt bedre grunnlag for evaluering av behandlingsresultater og dokumentasjon av avdelingens ressursbehov.

    Abstract

    Background

    . Intensive care is highly expensive, hence the requirement of efficient use of resources calls for evaluation of the severity of disease or injury for each individual patient, so that management may be optimised.

    Material and methods

    . At Ullevaal University Hospital, two different scoring systems have been used since 1996: SAPS II (Simplified Acute Physiology Score) for severity of illness and NEMS (Nine Equivalents of Nursing Manpower Use Score) for assessment of resource utilisation.

    Results

    . A significant relationship between severity of illness and mortality was found. Length of stay in ICU correlated with increasing SAPS II score in the range 0 to 50, but at higher scores no relationship was found. Patients with trauma and cardiovascular surgical patients used most of the resources. 79 % of total NEMS score consisted of vital signs monitoring, intravenous drug medication and mechanical ventilation of the patients.

    Interpretation

    . SAPS II and NEMS scoring systems provide useful information needed in the assessment of patient care in the ICU and are helpful in the documentation of financial and medical resource needs.

    Artikkel

    Intensivavdelinger behandler sykehusets aller sykeste og mest skadede pasienter som andre avdelinger ikke kan ta seg av. Behandlingen er komplisert, den involverer mange og behovet for utstyr er stort. Driften ved slike avdelinger er derfor personellkrevende, driftskostnadene er høye og kostnadene per pasient store. For å få et bedre grunnlag for administrative og faglige avgjørelser er det derfor viktig å kartlegge hvordan en intensivavdeling bruker sine ressurser. Objektive registreringer av alvorlighetsgraden av pasientenes sykdommer og skader og for ressursbruken i behandlingen av disse vil derfor være av nytte.

    Ved Postoperativ/Intensivavdelingen, Kirurgisk divisjon, Ullevål sykehus, har vi siden mars 1996 anvendt registreringssystemene SAPS II (Simplified Acute Physiology Score II) (1), som er et skåringssystem for fastsettelse av alvorlighetsgrad, og NEMS (Nine Equivalents of Nursing Manpower use Score) (2), et skåringssystem for ressursbruk. Disse skåringssystemene er beskrevet i en annen artikkel (3). Bruk av skåringssystemene har gitt oss ny innsikt i driften av intensivavdelingen, og vi redegjør for hvordan vi har benyttet systemene, hvilke resultater de har gitt og hvordan vi evaluerer våre funn.

    Materiale og metode

    Materiale og metode

    Avdelingen har to avsnitt, Postoperativ og Intensivavdelingen. Postoperativ mottar alle kategorier pasienter ved behov, men vanligvis legges gynekologiske, nevrokirurgiske, dagkirurgiske og øre-nese-hals-pasienter postoperativt i egne oppvåkningsenheter. Pasientene blir på Postoperativ til de kan flyttes til en ordinær sengepost eller til en spesialavdeling. Postoperativ har sengekapasitet til 18 pasienter og har 57 stillingshjemler for sykepleiere. Årlig behandles rundt 6 000 pasienter i avdelingen.

    Intensivavdelingen mottar alle kategorier pasienter, men indremedisinske, nevrokirurgiske, ukompliserte hjertekirurgiske og barneintensivmedisinske pasienter behandles vanligvis i egne spesialavdelinger. Avdelingen, som har 67 stillingshjemler, har sengekapasitet til 17 pasienter inklusive tre isolater. Det behandles årlig om lag 450 pasienter i avdelingen.

    Det er knyttet seks faste leger til avdelingene, og de går i egen vaktturnus. Arbeidet på vakttid deles med leger fra Anestesiavdelingen.

    Fra 1995 til 1997 ble samtlige hjerteopererte pasienter behandlet i Intensivavdelingen. Fra januar 1998 er disse pasientene blitt behandlet i en egen postoperativ enhet og Intensivavdelingen har fra samme tid bare mottatt hjertepasienter med forventet behov for lang intensivmedisinsk behandling.

    Ved Intensivavdelingen har vi fra mars 1996 rutinemessig registrert og skåret alle voksne intensivpasienter med SAPS II (1, 3) som mål for alvorlighetsgrad og med NEMS (2, 3) hos alle pasienter for bestemmelse av arbeidsbelastning eller ressursbruk. Fra april 1997 har vi på Postoperativ benyttet de samme skåringssystemene for pasienter med liggetid over 24 timer, disse utgjør ca. 5 % av denne avdelingens pasienter.

    SAPS II registreres kun én gang per pasient av behandlingsansvarlig lege. NEMS registreres en gang i døgnet av sykepleier – kl 0700 retrospektivt for de foregående 24 timene. Minste liggetid for å bli skåret var seks timer. Foruten skåringsresultatene har vi også registrert liggetid, respiratortid, dialysetid og enkelte spesielle behandlingsmetoder. Alle data er lagt inn i en egenutviklet database.

    Frem til oktober 1999 var 2 325 pasienter registrert i databasen, 1 696 pasienter ved Intensivavdelingen og 629 ved Postoperativ. Av alle registrerte er 1991 (86 %) blitt skåret med SAPS II. De resterende 14 % ble ikke SAPS-skåret fordi de enten var under 18 år eller hadde kortere liggetid enn 24 timer. Antall NEMS-registrerte pasienter var 2 181 (94 %), og til sammen ble det utført nær 12 000 NEMS-registreringer. Av de 1 696 pasientene som var registrert ved Intensivavdelingen, var 449 innlagt etter ukomplisert hjertekirurgi og hadde mindre enn 24 timers liggetid. Fra de øvrige 1 247 intensivpasientene, herav 373 hjertekirurgiske pasienter, har vi hentet relevante data for å illustrere sentrale problemstillinger vedrørende bruk av skåringssystemene SAPS II og NEMS. Et liggedøgn er beregnet som timer/24.

    Resultater

    Resultater

    196 pasienter (16 %) døde i Intensivavdelingen. 722 pasienter (58 %) ble utskrevet til eget sykehus og 329 pasienter (26 %) ble utskrevet direkte til andre sykehus for fortsatt intensivbehandling der. Av dem som ble utskrevet i live fra Intensivavdelingen, døde ytterligere 44 pasienter (3,5 %) ved sengepost i Ullevål sykehus og 45 (3,5 %) i andre sykehus. Dette gir en samlet sykehusmortalitet på 23 % for intensivpasientene.

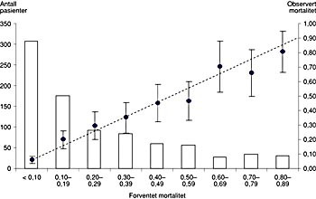
    Det var en klar sammenheng mellom observert sykehusmortalitet og forventet sykehusmortalitet beregnet fra SAPS II-skåre, som det fremgår av figur 1. Det var også en sammenheng mellom økende SAPS II-skåre og median ressursbruk per døgn inntil gruppen med høyest skåre, der ressursbruken er uforandret (fig 2). Median liggetid og ressursbruk økte med økende SAPS II-skåre inntil gruppen med skåre 40 – 49 for deretter å avta (tab 1). Arbeidsbelastningen i Intensivavdelingen varierte betydelig fra måned til måned (fig 3), men det var ingen typiske perioder med lav aktivitet. Det var ingen vesentlig forskjell i arbeidsbelastningen fordelt på de forskjellige ukedagene. Mandag til fredag var gjennomsnittlig ressursbruk 210 NEMS-poeng (197 – 216), mens ressursbruken på lørdager og søndager gjennomsnittlig var henholdsvis 199 og 201 NEMS-poeng. Derimot var det stor forskjell mellom ressursbruk for de uliketyper innleggelser (tab 2) hvor øyeblikkelig hjelp-kirurgi klart dominerte. Traumepasientene og hjerte- og karopererte pasienter krevde mest av avdelingens ressurser (tab 3). Ressursbruken og behandlingsresultatene var avhengig av både alvorlighetsgrad og av grunnlidelsen, slik tabell 4 viser utvalgte eksempler på. Basal monitorering, intravenøs medisinering og mekanisk ventilasjon utgjorde 79 % av totalt antall NEMS-poeng (tab 5).

    Tabell 1  

    Forholdet mellom SAPS II-skåre, median ressursbruk (NEMS-poeng) og median liggetid per opphold for 864 pasienter som var innlagt i Intensivavdelingen og som enten døde i avdelingen eller ble utskrevet til sengepost ved Ullevål sykehus i perioden mars 1996 – oktober 1999. 54 pasienter ble ikke skåret på grunn av alder under 18 år eller kortere liggetid enn 24 timer

    SAPS-skåre

    1 – 9

    10 – 19

    20 – 29

    30 – 39

    40 – 49

    50 – 59

    60 – 69

    > 70

    Antall pasienter

    28

    163

    202

    183

    136

     90

    37

    25

    NEMS-

    25

     25

     50

    117

    256

    160

    95

    89

    poeng

    (15 – 96)

    (15 – 992)

    (15 – 1 047)

    (16 – 1 984)

    (25 – 2 294)

    (18 – 1 309)

    (27 – 1 779)

    (33 – 1 673)

    Liggetid

     1

      1

      2

      4

      7

     5

     2

     2

    (døgn)

    (1 – 5)

    (1 – 36)

    (1 – 40)

    (1 – 72)

    (1 – 79)

    (1 – 39)

    (1 – 45)

    (1 – 57)

    Tabell 2  

    Fordeling av ressursbruk (278 230 NEMS-poeng) etter type innleggelse for 1 247 pasienter innlagt i Intensivavdelingen i perioden mars 1996 – oktober 1999. Elektiv kirurgi: Inngrepet planlagt mer enn 24 timer i forveien. Øyeblikkelig hjelp-kirurgi: Inngrepet planlagt mindre enn 24 timer i forveien. Ikke-operativ: Intet kirurgisk inngrep siste sju døgn

    Type innleggelse

    NEMS-poeng Antall (%)

    Antall (%)

    Elektiv kirurgi

     66 524 (24)

    390 (31)

    Øyeblikkelig hjelp-kirurgi

    177 104 (64)

    650 (52)

    Ikke-operativ

     34 602 (12)

    207 (17)

    Tabell 3  

    Fordeling av ressursbruk (80 204 NEMS-poeng) for hovedgrupper av 435 pasienter behandlet ved Intensivavdelingen i 1977

    Gruppe

    NEMS-poeng Antall (%)

    Antall (%)

    Traumer

    18 946 (24)

     85 (20)

    Hjertekirurgi

    17 084 (21)

    116 (27)

    Karkirurgi

    11 171 (14)

     45 (10)

    Gastrointestinal kirurgi

     8 633 (11)

     27  (6)

    Postoperativ respirasjonssvikt

     6 886  (9)

     23  (5)

    Annen kirurgi

     2 123  (3)

     55 (13)

    Ikke-operativ

    15 361 (19)

     81 (19)

    Tabell 4  

    Eksempler på fordeling av alvorlighetsgrad og ressursbruk ved enkelte pasientkategorier i perioden 1996 – 99

    Kategori

    Antall pasienter

    SAPS II-skåre Median (spredning)

    NEMS-poeng Median spredning)

    Liggedøgn Median (spredning)

    Døde under sykehus oppholdet

    Rumperte/ dissekerende torakaleaorta aneurismer

     26

    50 (24 – 88)

    198 (39 – 1 072)

    6 (1 – 29)

    8

    Elektive abdominale aortaaneurismer

     44

    26 (12 – 48)

    51 (24 – 143)

    2 (1 – 6)

    1

    Rumperte abdominale aortaaneurismer

     49

    41 (24 – 73)

    79 (18 – 1 673)

    3 (1 – 57)

    6

    Multitraumatiserte uten hodeskade

    174

    26 (8 – 72)

    147 (24 – 1 725)

    5 (1 – 78)

    17 

    Nekrotiserende fasciitt med/uten sepsis

     24

    28 (13 – 61)

    215 (18 – 2 115)

    61 – 59)

    3

    Tabell 5  

    Fordeling av ressursbruk (80 204 NEMS-poeng) for 435 pasienter fordelt på de ni ulike aktivitetene som inngår i skåringssystemet NEMS. Data fra Intensivavdelingen 1997

    NEMS-poeng

    Aktivitet

    Basismonitorering

    22 878 (29)

    Intravenøs medikasjon

    15 060 (19)

    Mekanisk ventilasjonsstøtte

    25 104 (31)

    Annen ventilasjonshjelp

     1 172  (1)

    Enkel vasoaktiv medikamentinfusjon

     5 726  (7)

    Flere vasoaktive medikamentinfusjoner

     5 652  (7)

    Dialyse

     1 410  (2)

    Intervensjoner i avdelingen

     1 900  (2)

    Intervensjoner utenfor avdelingen

     1 302  (2)

    Diskusjon

    Diskusjon

    Vi har i perioden 1.3. 1996 – 30.9. 2000 brukt skåringssystemene SAPS II og NEMS som en del av virksomhetsregistreringen ved Postoperativ/Intensivavdelingen. Det har vært legenes oppgave å registrere SAPS II én gang per pasient per opphold, sykepleierne har registrert NEMS daglig. Begge systemene har vært enkle å lære og lite tidkrevende å utføre når alle data foreligger. Det har vært lettere å få sykepleierne til å akseptere skåringen som en del av de daglige arbeidsoppgavene enn legene.

    I vår avdeling registreres både liggetid, respirator- og dialysetid i timer og døgn. Hvordan dette registreres i landets forskjellige intensivavdelinger, varierer (4).

    Som forventet var det en klar relasjon mellom SAPS II-skåre og sykehusmortalitet i gruppen av ikke-hjerteopererte pasienter. Av våre intensivpasienter var 30 % innlagt etter hjertekirurgi. Det er en kategori pasienter som skåringssystemet SAPS II ennå ikke er validert for. Vi har likevel valgt å skåre denne pasientgruppen fordi vi har ønsket full oversikt over fordelingen av SAPS II-skåre i vårt pasientmateriale. Det er vårt inntrykk at det også er en klar sammenheng mellom økende SAPS II-skåre og mortalitet for hjerteopererte som fikk intensivbehandling. Sett fra vår avdelings side er det en ulempe at det skåringssystemet vi av Helsetilsynet er blitt oppfordret til å anvende, ikke er validert for en så stor andel av de pasientene vi behandler.

    Med unntak for de poengene som registreres for alder, type innleggelse og kroniske sykdommer, er økende SAPS II-skåre et uttrykk for økende funksjonssvikt i ett eller flere organsystemer. Økende grad av organsvikt krever økt behandlingsinnsats med respirator, ett eller flere vasoaktive medikamenter, dialyse o.l. Det er derfor et rimelig funn at ressursbruken øker med stigende SAPS II-skåre. Imidlertid var den totale ressursbruken for de aller aller sykeste mindre enn forventet. Årsaken er at liggetiden i denne gruppen ofte er kort og den totale ressursbruken derfor mindre. Det er imidlertid stor individuell variasjon i ressursbruk innenfor de ulike undersøkte intervallene, noe som kan forklares ut fra pasientenes grunnlidelse. SAPS II-skåre alene er derfor ikke egnet til å forutsi enkeltpasienters forventede ressursbehov.

    Det er også vanskelig å forutsi intensivoppholdets varighet ut fra alvorlighetsgraden. Pasienter med høy SAPS II-skåre har gjerne kort liggetid, fordi tilstanden er så alvorlig at den etter kort tid fører til døden. På den annen side kan pasienter med relativt lav alvorlighetsgrad (<30 SAPS II-skåre), f.eks. unge, multitraumatiserte uten hodeskade, få relativt langvarige opphold. Disse pasientene får ofte lav SAPS II-skåre fordi de i mottakelsen og på operasjonsstuen er blitt godt stabilisert og har få fysiologiske og biokjemiske forstyrrelser når de postoperativt kommer til Intensivavdelingen, hvor de blir skåret. Ikke sjelden er denne kategorien pasienter svært ressurskrevende, både fordi de krever hyppige, omfattende kirurgiske sårskift og revisjoner, og fordi gruppen er disponert for komplikasjoner, som akutt lungesvikt (ARDS), nyresvikt og infeksjoner som forlenger oppholdet.

    Ressursbruken for den enkelte pasient varierer med grunnlidelsen, alvorlighetsgraden og fasen av sykdomsutviklingen. Erfaringsmessig er pasientene mest ressurskrevende de første døgnene etter innleggelse inntil tilstanden er stabilisert, deretter vil det ofte følge en kortere eller lengre periode med respiratoravvenning. I en intensivavdeling vil pasientene på et gitt tidspunkt være i forskjellige faser i sin sykdomsutvikling og ha varierende grad av ressursforbruk. Ressursbruken i hele avdelingen sett under ett vil derfor variere betydelig fra dag til dag hvis man studerer en kortere tidsperiode. På noe lengre sikt blir variasjonene mindre tydelige. Det er ved vår avdeling ingen enkelte ukedager eller perioder med så redusert aktivitet i forhold til gjennomsnittet at det kan tillegges betydning når det gjelder bemanning eller beredskap. Dertil er variasjonene enten for små eller for lite forutsigbare. Selv ikke i sommermånedene, når elektiv kirurgisk virksomhet er redusert, er det noen vesentlig nedgang i ressursbruken. Om lag en tredel av pasientene i vårt materiale var innlagt etter elektive kirurgiske inngrep. Selv om elektiv kirurgisk virksomhet er redusert om sommeren, øker andelen innleggelser etter øyeblikkelig hjelp-kirurgi tilsvarende, som følge av at det innlegges flere pasienter med skader i denne perioden.

    Virksomheten ved Postoperativ/Intensivavdelingen kan i liten grad planlegges, fordi en så stor andel av innleggelsene har karakter av øyeblikkelig hjelp. Både øyeblikkelig hjelp-kirurgiske og ikke-operative pasientkategorier er, sett fra Intensivavdelingen, å regne som trengende øyeblikkelig hjelp, og slike innleggelser kan ikke planlegges i forkant. Selv ikke ved innleggelser etter elektiv kirurgi er behovet for postoperativ intensivmedisinsk behandling alltid forutsett.

    Det er mulig å knytte ressursbruk målt i NEMS-poeng til diagnosegrupper eller til enkeltdiagnoser. Ressursbruken varierer ikke bare med tilstandens arvorlighetsgrad, men også med grunnlidelsen. I de siste årene har vi fått erfare at også nye pasientkategorier har behov for intensivmedisinsk behandling, f.eks. pasienter med nekrotiserende fasciitt. Det har vist seg at slike pasienter trenger mye ressurser. Sannsynligvis vil denne pasientkategorien og andre grupper med alvorlige infeksjoner i fremtiden legge beslag på en betydelig andel av intensivavdelingenes ressurser (5).

    Det er viktig å skaffe seg oversikt over avdelingens pasientsammensetning hvis man ønsker å sammenlikne egne behandlingsresultater med andres (3), og det er viktig å kartlegge ressursbruken for de ulike pasientkategoriene av hensyn til bemanningsstrategien og ressurstildelingen til avdelingen.

    Ved Intensivavdelingen går nær fire femdeler av ressursene med til tre aktiviteter – det å overvåke, medisinere og gi pasientene mekanisk ventilasjon eller respirasjonsstøtte – kun en femdel av ressursene går med til andre aktiviteter. Imidlertid bidrar disse aktivitetene uforholdsmessig mye til å gjøre intensivmedisinen så personellkrevende og dermed kostbar, fordi dette er tiltak som i stor grad iverksettes i de periodene pasientene er mest ustabile. Tiltakene kommer på toppen av en allerede stor belastning, slik at det ofte må benyttes to eller flere sykepleiere per pasient for å kunne gjennomføre behandlingen.

    Det er vanskelig å angi generelle bemanningsstandarder for intensivavdelinger. For å fastsette den riktige bemanningen må man ta utgangspunkt i det arbeidet som skal utføres, ikke i bare antall senger man har til rådighet eller antall pasienter man forventer å behandle. Bemanningen på den enkelte avdeling, både av sykepleiere og leger, må fastsettes med bakgrunn i en kartlegging av de pasientkategoriene avdelingen vanligvis behandler, andelen av akutte innleggelser, fordelingen av alvorlighetsgraden i pasientpopulasjonen, fordelingen av den arbeidsinnsatsen pasientene faktisk krever og hvorledes ressursbruken varierer over tid.

    Konklusjon

    Konklusjon

    Det er i dag få intensivmedisinske sengeplasser. Vår oppgave må være å tilby disse ressursene til de pasientkategoriene som kan dra best nytte av dem, og avgjørelsene må være faglig velbegrunnet. Etter å ha anvendt skåringssystemene SAPS II og NEMS har vi fått bedre oversikt over alvorlighetsgrad og ressursbruk i avdelingen som helhet og for grupper av pasienter. Vi har nå et bedre grunnlag for å vurdere om vi bør forandre på deler av avdelingens behandlingsopplegg og administrative rutiner. I tillegg kan vi nå bedre dokumentere avdelingens ressursbehov overfor andre avdelinger, sykehusets administrasjon og helsevesenet for øvrig.

    Kommentarer  ( 0 )

    Anbefalte artikler