Post partum-depresjoner forekommer hos 10 – 20 % av barselkvinnene, og hos noen av disse blir tilstanden så alvorlig at kvinnen trenger antidepressiv behandling (1, 2). De aller fleste legemidler som tas av ammende, inklusive antidepressiver, gjenfinnes i morsmelken. Den mengden legemiddel som passerer over til morsmelk er avhengig av flere faktorer, hvorav den viktigste er morens plasmakonsentrasjon av legemidlet. Andre faktorer av betydning er legemidlets molekylstørrelse, syre-base-egenskaper, proteinbindingsgrad i plasma og lipidløselighet (3). Passasjen fra plasma til melk følger de vanlige prinsippene for passiv diffusjon over lipidmembraner. Siden morsmelken er noe surere enn plasma (henholdsvis pH 6,8 – 7,0 og 7,4), vil diffusjonslikevekten påvirkes i retning av økt konsentrasjon i melken for basiske legemidler, inklusive de fleste psykofarmaka. Kraftig binding til plasmaproteiner fører til lavere konsentrasjon i melken, mens uttalt lipidløselighet, som de fleste psykofarmaka har, tenderer til å øke konsentrasjonen i melken. For alle legemidler som passerer over i morsmelk er det, uansett grad av passasje, viktig å vurdere risikoen for legemiddeleffekter hos barnet når mor ammer.
Ifølge norske og europeiske retningslinjer er selektive serotoninreopptakshemmere (SSRI) førstevalg ved milde til moderate depresjoner pga. likeverdig effekt, men lavere toksisitet enn trisykliske antidepressiver (4, 5). American Academy of Pediatrics klassifiserer alle antidepressiver som legemidler der effekten på diende barn er ukjent, men kan være av betydning (6). I denne artikkelen oppsummeres det vi i dag vet om overgang av de ulike selektive serotoninreopptakshemmere til morsmelk, og vi presenterer egne data fra måling av paroxetin, citalopram og fluvoksamin i morsmelk hos åtte ammende kvinner.
Materiale og metode
Litteratursøk
Det ble gjennomført et litteratursøk i databasene Medline og Embase med søkeordene ”breast feeding”, ”breast milk”, ”antidepressants”, ”selective serotonin reuptake inhibitors”, ”paroxetine”, ”citalopram”, ”sertraline”, ”fluoxetine” og ”fluvoxamine”. Relevante oppslagsverk og oversiktsartikler (7 – 9) ble studert for å identifisere ytterligere referanser. I alt ble det funnet 75 artikler. Mange av disse omhandlet behandling av depressive lidelser under ammeperioden generelt, og ble ikke tatt med i oversikten. Det ble funnet 25 artikler som omhandlet overgangen av citalopram, sertralin, paroxetin, fluvoksamin eller fluoksetin til morsmelk.
Egne data
Åtte kvinner som brukte paroxetin (n = 4), citalopram (n = 3) eller fluvoksamin (n = 1) som vedlikeholdsbehandling ble inkludert i studien etter skriftlig å ha gitt sitt informerte samtykke. Studien var på forhånd tilrådd av etisk komité.
Legemiddelkonsentrasjonene ble målt i melken, og ut fra dette ble det estimert hvilken mengde legemiddel som barnet eksponeres for via morsmelken. Tilførsel av et legemiddel gjennom morsmelk uttrykkes ofte som den dosen barnet får i seg per kilo kroppsvekt i forhold til morens dose per kilo kroppsvekt. Denne dosen (som kalles barnets relative dose) regnes ut ved å multiplisere den gjennomsnittlige legemiddelkonsentrasjonen i melken med barnets melkeinntak (som skjematisk anslås til 150 ml/kg/døgn) og dividere med morens døgndose per kilo kroppsvekt (7). Man kan dermed foreta en direkte sammenlikning av graden av eksponering hos barnet for legemidler innenfor samme gruppe, selv om de gis i forskjellig dosering til moren. Denne metoden er brukt i vårt materiale. Ved relative doser over 10 % ansees det generelt at det finnes en reell risiko for farmakologiske effekter hos barnet. Når barnet er sykt eller permaturt eller legemidlet er svært toksisk, bør imidlertid grensen settes lavere.
Melkeprøvene ble tatt rett før inntak av morgendosen (da konsentrasjonen i morsmelk ansees å være lavest), og deretter fire, åtte og 12 timer etter tablettinntak på to forskjellige dager. For to kvinner som brukte citalopram, ble melkeprøvene i stedet tatt fire og seks timer etter siste dose. Til sammen ble ca. 5 ml morsmelk samlet fra begge bryst midt i ammemåltidet, og oppbevart nedfryst frem til analysetidspunktet. Serumprøver ble tatt av seks av kvinnene.
En helautomatisk metode til bestemmelse av totalkonsentrasjonen av paroxetin i morsmelk med ASTED (Automated Sequential Trace Enrichment of Dialysate) og fluorescensdetektor ble utviklet i samarbeid med Farmasøytisk institutt (10). Metoden har en deteksjonsgrense på 2,5 ng/ml. Fluvoksamin og citalopram ble analysert med metoder som er beskrevet i detalj tidligere (11, 12).
Resultater
Data fra litteraturen
Litteraturgjennomgangen identifiserte sju artikler som omhandlet overgangen til morsmelk av fluoksetin (13 – 19), fire artikler som omhandlet paroxetin (20 – 23), fem som omhandlet citalopram (12, 24 – 27), seks som omhandlet sertralin (28 – 33), og tre som omhandlet fluvoksamin (34 – 36). Resultatene fra disse studiene oppsummeres i tabell 1. Relativ dose til barnet var lavest for fluvoksamin, sertralin og paroxetin og høyest for citalopram og fluoksetin (inklusive den aktive metabolitten norfluoksetin). Resultatene fra litteraturgjennomgangen viser at et spedbarn på 5 kg kan få i seg gjennomsnittlig i størrelsesorden 0,03 mg paroxetin, 0,04 mg sertralin, 0,12 mg fluvoksamin 0,14 mg citalopram, eller 0,14 mg fluoksetin/norfluoksetin per døgn gjennom morsmelken når moren bruker anbefalt SSRI-dosering. I en del tilfeller er det tatt plasmaprøver fra barnet, og i de fleste tilfellene var legemiddelkonsentrasjonene enten under deteksjonsgrensen eller målbare, men svært lave (tab 1).
Tabell 1
Oversikt over resultater fra publiserte studier med henblikk på overgang av selektive serotoninreopptakshemmere til morsmelk
| Antall mødre |
Maternell dose (mg/d) |
Relativ dose (%) 1 |
Melk-plasmakonsentrasjonsratio |
Barnets plasmakonsentrasjon (ng/ml) |
|
| Referanse |
|||||
| Fluoksetin |
|||||
| 13 2 |
1 |
20 |
3,2 3 |
0,3 (0,2 4 ) |
– |
| 14 |
1 |
20 |
5,4 3, 5 |
0,5 (0,4 4 ) |
– |
| 15 2 |
1 |
20 |
7,2 3 |
– |
340 (208 4 ) |
| 16 |
10 |
0,2 – 0,9 6 |
6,3 3, 7 |
– |
< 1 (<1 4 ) |
| 17 |
4 |
20 – 40 |
3,6 3, 7 |
0,5 7 (0,2 4, 7 ) |
< 20 (<20 4 ) |
| 18 |
1 |
20 |
3,0 3 |
– |
61 (57 4 ) |
| 19 |
14 |
20 – 80 |
6,8 3, 7 |
0,7 7 (0,6 4, 7 ) |
86 8 (102 4, 8 ) |
| Paroxetin |
|||||
| 20 |
1 |
20 |
0,3 |
– |
– |
| 21 |
7 |
10 – 40 |
1,6 7 |
0,7 7 |
– |
| 22 |
6 |
20 – 30 |
1,1 7 |
0,4 7 |
< 4 |
| 22 |
4 |
10 – 20 |
1,3 7 |
0,5 – 0,8 9 |
< 4 |
| 23 |
16 |
10 – 50 |
0,9 7 |
0,9 7 |
< 2 |
| Citalopram |
|||||
| 12 |
3 |
20 – 40 |
0,7 – 5,9 |
1,7 7 |
– |
| 24 |
1 |
20 |
4,8 |
2,1 |
2,3 |
| 25 |
2 |
20, 60 |
5 – 9 |
2,0 7 |
– |
| 26 2 |
1 |
40 |
4,6 |
2,1 |
12,7 |
| 27 |
7 |
0,3 – 0,6 6 |
3,5 7 |
1,8 7 |
2,2 7 |
| Sertralin |
|||||
| 28 |
1 |
100 |
0,4 5 |
0,7 |
< 0,5 |
| 29 |
3 |
50 – 100 |
– |
– |
< 2 |
| 30 |
4 |
50 – 100 |
– |
– |
< 2,5 |
| 31 |
11 |
25 – 150 |
1,0 5, 7 |
2,3 |
< 1 – 3 10 |
| 32 |
8 |
50 – 200 |
0,2 7 |
1,9 |
< 5 |
| 33 |
9 |
50 – 200 |
– |
– |
< 2 – 64 11 |
| Fluvoksamin |
|||||
| 34 |
1 |
200 |
0,5 |
0,3 |
– |
| 35 |
1 |
100 |
0,5 |
0,3 |
– |
| 36 |
1 |
200 |
1,6 |
1,3 |
– |
| |||||
Bivirkninger ble observert hos tre av de i alt 119 brysternærte barna. To barn, hvis mødre brukte fluoksetin, fikk henholdsvis kolikk (15) og ble muligens irritable (14), og ett barn, hvis mor brukte citalopram, hadde søvnproblemer (26). I tillegg er det til australske legemiddelmyndigheter rapportert fire tilfeller av mulige effekter hos diende barn (37). To av kvinnene brukte sertralin, én kvinne brukte paroxetin og én brukte fluoksetin.
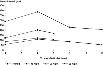
Egne data
Egne data presenteres i tabell 2. Konsentrasjonene av paroxetin og citalopram i melken er vist i henholdsvis figur 1 og figur 2. For paroxetin var relativ dose under 6 % for alle de fire pasientene, med en median på 3 %. For citalopram var den høyeste relative dose 11 %, med en median relativ dose på 5 %. Den relative dosen for fluvoksamin var minimal, mindre enn 0,2 %.
Tabell 2
Data fra åtte ammende kvinner som er blitt behandlet med selektive serotoninreopptakshemmere
| Relativ dose 1 |
||||||
| Pasient |
Døgndose (mg) |
Kroppsvekt (kg) |
Minimum |
Maksimum |
Median |
Melk-plasmakonsentrasjonsratio |
| Paroxetin |
||||||
| 1 |
10 |
80 |
2,0 |
5,5 |
4,2 |
0,36 |
| 2 |
40 |
64 |
1,4 |
4,4 |
3,1 |
– 2 |
| 3 |
20 |
70 |
0,6 |
0,9 |
0,7 |
0,42 |
| 4 |
20 |
47 |
1,8 |
3,3 |
2,8 |
– 2 |
| Citalopram |
||||||
| 5 |
20 |
70 |
1,0 |
5,0 |
3,2 |
1,2 |
| 6 |
40 |
65 |
3,1 |
10,6 |
5,1 |
1,5 |
| 7 |
20 |
70 |
4,1 |
6,4 |
4,9 |
1,7 |
| 7 |
40 |
70 |
2,7 |
5,3 |
4,4 |
1,5 |
| Fluvoksamin |
||||||
| 8 |
100 |
65 |
0,1 |
0,2 |
0,2 |
1,2 |
| ||||||
Ett av de åtte barna, hvis mor brukte 40 mg paroxetin, var preget av slapphet, dårlig sugeevne og irritabilitet kort tid etter fødselen. Plasmakonsentrasjonen av paroxetin ved én ukes alder var 31 ng/ml. Dette ligger i nedre del av det konsentrasjonsområdet man vanligvis ser hos voksne ved terapeutisk bruk av paroxetin. Det kliniske bildet ble tolket av behandlende lege som abstinens relatert til in utero-eksponering. Ingen av de andre brysternærte spedbarna viste mulige SSRI-relaterte symptomer som spisevansker, søvnforstyrrelser eller irritabilitet i løpet av ammeperioden.
Diskusjon
Publiserte studier og egne data viser store interindividuelle, tids- og doseavhengige variasjoner i konsentrasjonen av de forskjellige selektive serotoninreopptakshemmerne i morsmelk. Dette kan skyldes genetiske og miljøbetingende forskjeller i metabolisme og ulike tidspunkter for prøvetaking både i forhold til om prøven tas i begynnelsen eller slutten av ammemåltidet og i forhold til morens inntak av siste legemiddeldose. SSRI-preparatene, som er fettløselige, kan oppkonsentreres i den fete ettermelken (20). I tillegg er legemiddelkonsentrasjonene i høyest 2 – 4 timer etter tablettinntak for citalopram og 4 – 6 timer etter tablettinntak for paroxetin, sertralin og fluvoksamin. For fluoksetin og den aktive metabolitten norfluoksetin nås maksimumskonsentrasjonen i melken senere.
Barnets leverfunksjon og nyrefunksjon er ikke ferdig utviklet før flere måneder etter fødselen, og metabolisme og ekskresjon av legemidler er dermed forsinket i denne perioden (9, 38). Når ammende blir behandlet over lengre tid med legemidler som har lange halveringstider hos spedbarn under 3 – 6 måneders alder, bør derfor risikoen for akkumulering i barnet vurderes.
Fluoksetin og paroxetin metaboliseres via enzymsystemet cytokrom P450 (CYP) 2D6 i leveren, mens citalopram metaboliseres av CYP2C19. Henholdsvis 7 % og 4 % av befolkningen har en genetisk defekt som gjør at respektive enzymer er inaktive. De vil dermed kunne få høye legemiddelkonsentrasjoner i plasma og morsmelk, med økt risiko for bivirkninger hos barnet, selv om moren behandles med ordinære doser av det aktuelle legemidlet.
Fluoksetin er best studert av SSRI-preparatene. Fluoksetin har en aktiv metabolitt, norfluoksetin, som kan akkumuleres hos barnet pga. stoffets lange halveringstid (4 – 16 døgn hos voksne). Barnets relative dose er høy. Et tilfelle av kolikk er rapportert hos et en måned gammelt barn der moren tok 20 mg fluoksetin daglig i ammeperioden (15). Ved overgang til ernæring med morsmelkerstatning forsvant kolikken etter fire dager. Da moren gjenopptok ammingen tre uker senere, kom kolikken tilbake etter 24 timer. Serumkonsentrasjonsmålinger hos barnet viste 340 ng/ml fluoksetin og 208 ng/ml norfluoksetin (15). Dette ligger noe over de konsentrasjonene man vanligvis ser hos voksne ved terapeutisk bruk av fluoksetin i aktuell dosering. I en annen kasuistikk beskrives et diende barn som muligens viste tegn på irritabilitet (14). I flere artikler og innlegg hevdes det på denne bakgrunn at fluoksetin hvis mulig bør unngås til bruk hos ammende (9, 39 – 41). Det er imidlertid ikke mulig å si om de symptomene som er beskrevet (14, 15) er vanligere hos barn som ammes av mødre som bruker fluoksetin enn hos andre, siden det ikke finnes noe kontrollmateriale.
Paroxetin er i dag det nest mest solgte selektive seotoninreopptakshemmeren i Norge etter citalopram. I fire studier på til sammen 34 mor-barn-par ble det ikke rapportert noen mistenkte farmakologiske effekter hos barna når moren brukte paroxetin i doser på 10 – 40 mg daglig. En bivirkningsmelding fra Australia beskriver et barn som ble urolig og hadde spisevansker mens mor ammet og brukte paroxetin (37), men data er så mangelfulle at det ikke er mulig å ha noen klar formening om årsaksforholdet.
Citalopram er i dag den mest brukte selektive serotoninreopptakshemmeren i Norge, og var blant de ti mest solgte legemidlene rangert etter omsetning i 1999. Allikevel er det sparsom dokumentasjon om sikkerhet ved bruk hos ammende. Egne data og resultater fra utregning av relativ dose fra litteraturgjennomgangen (n = 17) tyder på at overgangen til morsmelk er høyere enn for andre selektive serotoninreopptakshemmere, med unntak av fluoksetin. Søvnproblemer er registrert hos et barn hvis mor brukte 40 mg citalopram mens hun ammet (26). Symptomene forsvant da moren reduserte dosen til 20 mg daglig og morsmelkerstatning ble introdusert ved to måltider daglig.
Seks publikasjoner omhandler totalt 36 barn som er blitt ammet av mødre under sertralinbehandling. Den relative dosen til barnet er minimal. Ingen av barna opplevde farmakologiske effekter av sertralin via eksponering gjennom morsmelken. Det er imidlertid beskrevet et tilfelle der barnet hadde serumkonsentrasjoner som tilsvarte halvparten av mors serumnivåer (33). I tillegg foreligger det en bivirkningsrapport om et tilfelle av uro hos et fem måneder gammelt barn få dager etter at moren begynte med sertralin, og en rapport om et tilfelle av døsighet, hypotoni, hørselsproblemer og mistenkte utviklingsproblemer i løpet av de tre månedene etter fødselen som moren brukte sertralin (37). Data i disse rapportene er imidlertid svært mangelfulle og det er derfor ikke mulig å ha noen formening om årsaksforholdet. Ytterligere en kasuistikk (42) forteller om agitasjon, uro, konstant gråt, spisevansker, økte reflekser og søvnproblemer hos et brysternært spedbarn én dag etter mor at brått seponerte behandling med 200 mg sertralin som hun hadde brukt gjennom svangerskapet og til tre uker post partum. Forfatterne anser at det dreier seg om seponeringsproblemer og foreslår at sertralin i morsmelken muligens kan forhindre abstinenssymptomer hos barnet etter fødselen (42).
Svært lite data er publisert vedrørende overgang av fluvoksamin til morsmelk. Vi fant lavere konsentrasjoner av fluvoksamin i serum og brystmelk enn de tre tidligere publiserte kasuistikkene (34 – 36). Mulige årsaker til dette kan være at pasienten ikke tok tablettene som foreskrevet eller at fettinnholdet i melken var svært lavt.
Konklusjon
Det er viktig at kvinner med post partum-depresjoner får adekvat behandling. Hvis behov for medisinering oppstår under ammeperioden, og en selektiv serotoninreopptakshemmer overveies, bør fluoksetin ikke være førstevalg. Man bør også være forsiktig med å bruke høye doser citalopram.
Hvis en kvinne har brukt en selektiv serotoninreopptakshemmer under svangerskapet og hatt god nytte av det, bør hun uansett preparat kunne fortsette med dette også under ammeperioden. Inntil det foreligger data fra større studier, bør barn av mødre som bruker selektive serotoninreopptakshemmere observeres for mistrivsel, søvnproblemer og spiseproblemer, spesielt hvis barnet i tillegg er blitt eksponert for denne typen legemidler i siste del av svangerskapet.
Ved å unngå å amme når konsentrasjonen av selektive serotoninreopptakshemmere i morsmelken er høyest, vil barnets eksponering for legemidlet gjennom morsmelken kunne reduseres noe. Hvis barnet ikke ammes om natten, kan barnets eksponering reduseres ved at den daglige dosen tas om kvelden.
Foreliggende data tyder på at i de fleste tilfeller oppveier de positive effektene av amming den mulige risikoen for farmakologiske effekter hos det brysternærte barnet.
Vi minnes med varme og takk Ingrid Matheson (1947 – 98), som var initiativtaker til studien Amming og antidepressiver.
- 1.
Håberg M, Matheson I. Antidepressiver og amming. Tidsskr Nor Lægeforen 1997; 117: 3952 – 5.
- 2.
Cooper PJ, Murray L. Postnatal depression. BMJ 1998; 316: 1884 – 6.
- 3.
Matheson I, Nylander G. Amming og legemidler. I: Vennerød AM, red. Norsk Legemiddelhåndbok for helsepersonell 1998 – 1999. Oslo: Norsk Legemiddelhåndbok I/S, 1998: 990 – 9.
- 4.
Statens legemiddelkontroll. Behandling av depresjoner. Terapianbefalinger. Nytt om legemidler 1996 (suppl 1).
- 5.
Spigset O, Mårtensson B. Fortnightly review: drug treatment of depression. BMJ 1999; 318: 1188 – 91.
- 6.
American Academy of Pediatrics, Committee on Drugs. The transfer of drugs and other chemicals into human milk. Pediatrics 1994; 93: 137 – 50.
- 7.
Bennett PN, red. Drugs and human lactation. 2. utg. Amsterdam: Elsevier, 1996.
- 8.
Briggs GG, Freeman RK, Yaffe SJ, red. Drugs in pregnancy and lactation. 5. utg. Pennsylvania: Williams & Wilkins, 1998.
- 9.
Spigset O, Hägg S. Execretion of psychotropic drugs into breast milk. Pharmacokinetic overview and therapeutic implications. CNS Drugs 1998; 9: 111 – 34.
- 10.
Bergsholm YK. Utvikling av en helautomatisk analysemetode for bestemmelse av paroxetin i morsmelk, som en del av en klinisk studie ”Amming og antidepressiva”. Hovedfagsoppgave i farmasi. Oslo: Farmasøytisk Institutt, Universitetet i Oslo, 1998.
- 11.
Spigset O, Carleborg L, Hedenmalm K, Dahlqvist R. Effects of cigarette smoking on fluvoxamine pharmacokinetics in humans. Clin Pharmacol Ther 1995; 58: 399 – 403.
- 12.
Spigset O, Carleborg L, Öhman R, Norström Å. Excretion of citalopram in breast milk. Br J Clin Pharmacol 1997; 44: 295 – 8.
- 13.
Isenberg KE. Excretion of fluoxetine in human breast milk. J Clin Psychiatry 1990; 51: 169.
- 14.
Burch KJ, Wells BG. Fluoxetine/norfluoxetine concentrations in human milk. Pediatrics 1992; 89: 676 – 7.
- 15.
Lester BM, Cucca J, Andreozzi L, Flanagan P, Oh W. Possible association between fluoxetine hydrochloride and colic in an infant. J Am Acad Child Adolesc Psychiatry 1993; 32: 1253 – 5.
- 16.
Taddio A, Ito S, Koren G. Excretion of fluoxetine and its metabolite, norfluoxetine, in human breast milk. J Clin Pharmacol 1996; 36: 42 – 7.
- 17.
Yoshida K, Smith B, Craggs M, Kumar RC. Fluoxetine in breast-milk and developmental outcome of breast-fed infants. Br J Psychiatry 1998; 172: 175 – 9.
- 18.
Brent NB, Wisner KL. Fluoxetine and carbamazepine concentrations in a nursing mother/infant pair. Clin Pediatr 1998; 37: 41 – 4.
- 19.
Kristensen JH, Ilett KF, Hackett LP, Yapp P, Paech M, Begg EJ. Distribution and excretion of fluoxetine and norfluoxetine in human milk. Br J Clin Pharmacol 1999; 48: 521 – 7.
- 20.
Spigset O, Carleborg L, Norström Å, Sandlund M. Paroxetine level in breast milk. J Clin Psychiatry 1996; 57: 39.
- 21.
Öhman R, Hägg S, Carleborg L, Spigset O. Excretion of paroxetine into breast milk. J Clin Psychiatry 1999; 60: 519 – 23.
- 22.
Begg EJ, Duffull SB, Saunders DA, Buttimore RC, Ilett KF, Hachett LP et al. Paroxetine in human milk. Br J Clin Pharmacol 1999; 48; 142 – 7.
- 23.
Stowe ZN, Cohen LS, Hostetter A, Ritchie JC, Owens MJ, Nemeroff CB. Paroxetine in human breast milk and nursing infants. Am J Psychiatry 2000; 157: 185 – 9.
- 24.
Jensen PN, Olesen OV, Bertlesen A, Linnet K. Citalopram and desmethylcitalopram concentrations in breast-milk and in serum of mother and infant. Ther Drug Monit 1997; 19: 236 – 9.
- 25.
Öhman I, Wikner BN. Citalopram and metabolite levels in plasma and in breast-milk in two nursing women. Eur J Clin Pharmacol 1997; 52 (suppl A): 179.
- 26.
Schmidt K, Olesen OV, Jensen PN. Citalopram and breast-feeding: serum concentration and side effects in the infant. Biol Psychiatry 2000; 47: 164 – 5.
- 27.
Rampono J, Kristensen JH, Hackett LP, Paech M, Kohan R, Ilett KF. Citalopram and demethylcitalopram in human milk: distribution, excretion and effects in breast fed infants. Br J Clin Pharmacol 2000; 50: 263 – 8.
- 28.
Altshuler LL, Burt VK, McMullen M, Hendrick V. Breastfeeding and sertraline: a 24hour analysis. J Clin Psychiatry 1995; 56: 243 – 5.
- 29.
Mammen OK, Perel JM, Rudolph G, Foglia JP, Wheeler SB. Sertraline and norsertraline levels in three breastfed infants. J Clin Psychiatry 1997; 58: 100 – 3.
- 30.
Epperson CN, Anderson GM, McDougle CL. Sertraline and breast-feeding. N Engl J Med 1997; 336: 1189 – 90.
- 31.
Stowe ZN, Owens MJ, Landry JC, Kilts CD, Ely T, Llewellyn A et al. Sertraline and desmethylsertraline in human breast milk and nursing infants. Am J Psychiatry 1997; 154: 1255 – 60.
- 32.
Kristensen JH, llett KF, Dusci W, Hackett LP, Yapp P, Wojnar-Horton RE et al. Distribution and excretion of sertraline and N-desmethylsertraline in human milk. Br J Clin Pharmacol 1998; 45: 453 – 7.
- 33.
Wisner KL, Perel JM, Blumer J. Serum sertraline and N-desmethylsertraline levels in breast-feeding mother-infant pairs. Am J Psychiatry 1998; 155: 690 – 2.
- 34.
Wright S, Dawling S, Ashford JJ. Excretion of fluvoxamine in breast milk. Br J Clin Pharmacol 1991; 31: 209.
- 35.
Yoshida K, Smith B, Kumar RC. Fluvoxamine in breast-milk and infant development. Br J Clin Pharmacol 1997; 44: 210 – 1.
- 36.
Hägg S, Granberg K, Carleborg L. Excretion of fluvoxamine into breast milk. Br J Clin Pharmacol 2000; 49: 283 – 8.
- 37.
SSRIs and breast milk transfer. Australian Adverse Drug Reactions Bulletin 1997; 16: 14.
- 38.
Langslet A. Barn og legemidler. I: Vennerød AM, red. Norsk Legemiddelhåndbok for helsepersonell 1998 – 1999. Oslo: Norsk Legemiddelhåndbok I/S, 1998: 990 – 9.
- 39.
Wisner KL, Perel JM, Findling RL. Antidepressant treatment during breast-feeding. Am J Psychiatry 1996; 153: 1132 – 7.
- 40.
Nordeng H, Matheson I. Fluoxetine and breast-feeding. Austr Prescr 1998; 2: 32.
- 41.
Spigset O, Öhman R. Antidepressiver og amming. Nyere data. Tidsskr Nor Lægeforen 1998; 118: 100.
- 42.
Kent LS, Laidlaw JD. Suspected congenital sertraline dependence. Br J Psychiatry 1995; 167: 412 – 3.