Mental svikt hos sykehjemspasienter

    ()

    sporsmal_grey_rgb
    Abstract

    Sykehjem er en hjørnestein i eldreomsorgen. Utbygging av hjemmebaserte tjenester har gjort det mulig for grupper av eldre som tidligere ble innlagt til langtidsopphold i sykehjem, å bli boende i eget hjem eller i tilrettelagte leiligheter.

    I denne studien beskrives forandringer hos sykehjemspasienter i Bergen fra 1985 til 1996/97 med henblikk på mental fungering og pleiebehov. I 1985 omfattet undersøkelsen 1 296 pasienter fra 21 sykehjem, i 1996/97 1 141 fra 16 sykehjem. Pleier som var i daglig kontakt med pasienten vurderte mental funksjon (Clinical Dementia Rating, CDR), mestring av dagliglivets aktiviteter (ADL) og atferd.

    Andelen mentalt svekkede økte fra 75 % til 82 %, og andelen med stort pleiebehov økte fra 87 % til 91 %. Det var ingen signifikant endring i liggetid, bortsett fra pasienter med lett mental svikt hvor median liggetid var 871 dager i 1985 og 721 dager i 1996/97.

    Sykehjem er i dag fortrinnsvis langtidsinstitusjoner for personer med mental svikt, hvorav de fleste lider av aldersdemens og for pasienter med betydelig fysisk funksjonssvikt. Dette er grupper som er avhengige av medisinsk tilsyn og oppfølging og helhetlig pleie og omsorg, og som i liten grad passer inn i en ”avmedikaliseringsideologi” for syke gamle. Både sykehjem og omsorgsboliger er påkrevd i eldreomsorgen.

    Abstract

    Background.

    Nursing homes are the corner stones in long-term institutional care for frail elderly people. Expansion and strengthening of community-based services during the last decade has enabled frail elderly who earlier would have moved into a nursing home to stay in their own home or in service apartments.

    Material and methods.

    In a cross-sectional, anonymised study, changes in nursing homes in the city of Bergen between 1985 and 1996/97 were analysed with regard to prevalence of mentally impaired residents. The following items were assessed by nurses who were in daily contact with the residents: mental capacity by means of Clinical Dementia Rating (CDR), activities of daily living (ADL), and behaviour. The study population consisted of 1,296 residents from 21 institutions in 1985 and 1,141 residents from 16 institutions i 1996/97.

    Results.

    The percentage of mentally impaired residents increased significantly, from 75 to 82, and the percentage of residents who were in need of extended nursing care rose from 87 to 91. The median duration of stay did not change significantly, but was reduced for residents with slight mental impairments (CDR 1), from 871 to 721 days.

    Interpretation.

    Today, predominately mentally impaired and physically disabled elderly are cared for in general nursing homes. These are patients in need of continuous medical care and supervision, and do not fit into an ideology which ”demedicalises” severe medical conditions in old people. Both nursing homes and sheltered livings are needed.

    Artikkel

    Sykehjem er en hjørnestein i eldreomsorgen. Sykehjemmenes oppgaver fremgår av ”Forskrift for sykehjem og boform for heldøgns omsorg og pleie”, og oppgavene spenner over et vidt felt: medisinsk habilitering og rehabilitering, avlastning, permanent opphold, spesielt tilrettelagt opphold for funksjonshemmede, skjermet enhet for senil demente, selvstendig boenhet for barn/ungdom, dagopphold, nattopphold, terminalpleie (1). Det er forutsetningen at boenhetene skal dekke flere av disse oppgavene, men det er opp til den enkelte kommune å avgjøre hvorledes de i detalj velger å løse de oppgavene som de er pålagt ifølge kommunehelseloven.

    Sykehjem er en del av det offentlige helse- og omsorgstilbudet. Det finnes ingen absolutte normer for hvor mange sykehjemsplasser det er behov for. Det er spørsmål om samhandling, arbeids- og funksjonsfordeling mellom sykehus, kommunale institusjonstilbud og hjemmebaserte tjenester. Endringer innen ett av systemene får ringvirkninger for samarbeidspartnerne. Flere forhold påvirker oppfatningen av hvorledes dimensjoneringen bør være, f.eks. eldres egne ønsker og forestillinger, yngre personer med ideologiske forestillinger som samtidig er aktører i beslutningsprosessen, og politiske tendenser og føringer. Enkeltkommunens økonomi og prioriteringer blir til sjuende og sist den avgjørende faktor for hvorledes den endelige utformingen blir.

    Sykehjem er landets største institusjonsnivå. På landsbasis var det fra 1985 til 1997 en økning i antall sykehjemsplasser med 16 %, til 34 291 plasser. I samme tidsrom falt dekningsgraden for personer over 80 år fra 21,3 % til 18,5 % (2, 3). I Bergen var dekningsgraden i de samme årene henholdsvis 19,2 % og 20,2 %, men den samlede institusjonsdekningen (alders- og sykehjem) i tidsrommet falt fra 29,2 % til 26 % (4, 5). Over 70 % av pasientene i norske sykehjem er demente (6). En undersøkelse fra Bergen i 1985 viste at 75 % av beboerne hadde mental svikt, og at 84,5 % ble regnet som tunge pleiepasienter (7).

    Sykehjemmenes rolle i helsevesenet har ofte vært gjenstand for diskusjon. I tilslutning til Eldremeldingen (8) utgav for eksempel Ressurssenter for omsorgstjenester et debatthefte hvor man med tyngde forfektet oppfatningen at ”sykehjemmet og andre institusjoner kun skal ha oppgaver i forhold til behandling/rehabilitering, og ikke tilbys som bolig” (9). Nylig kom Sosial- og helsedepartementet med forslag til fremtidige funksjonsområder for sykehjemmene. Tre alternative forslag ble presentert, hvorav det ene langt på vei er i overensstemmelse med nevnte debatthefte. En gruppe som ikke er viet særlig oppmerksomhet i dette alternativet, er de demente, som utgjør den største brukergruppen (10).

    På denne bakgrunn kan det være av interesse å sammenlikne pasienter som var innlagt til langtidsopphold i 1985 med pasienter innlagt i 1996/97, spesielt med henblikk på med mental svikt.

    Materiale og metoder

    Materiale og metoder

    I februar 1985 ble det utført en prevalensundersøkelse som omfattet samtlige av sykehjemmene i Bergen (n = 21) med til sammen 1 409 pasienter, derav 1 296 som var innlagt til langtidsopphold. Høsten 1996 og våren 1997 ble undersøkelsen gjentatt på 16 sykehjem (65 % av sykehjemskapasiteten) med 1 246 pasienter, derav 1 152 som var innlagt til langtidsopphold. Opplysningene var anonymisert.

    Demografiske opplysninger og innleggelsesdato ble hentet fra kardex. Vurdering av beboernes ferdigheter med hensyn til fungering i dagliglivet (ADL), atferd og mental fungering ble foretatt av pleiere med god kjennskap til den enkelte pasient. De samme instrumentene ble brukt ved begge undersøkelsene.

    Til registrering av ADL og atferd benyttet vi en skala utviklet av Adolfsson og medarbeidere (11). Den inneholder følgende ledd: vannlating, tarmfunksjon, spising, gange, hygiene, på- og avkledning og atferd. På grunnlag av summen av ADL- og atferdspoengene ble beboerne gruppert etter pleiebehov: ingen, lett, moderat eller stort. Mental kapasitet ble vurdert ved hjelp av Clinical Dementia Rating (CDR) (12), som er en global vurdering av hukommelse, orienteringsevne, dømmekraft og evne til problemløsning, samfunnsaktiviteter, huslige og personlige gjøremål. På grunnlag av de seks faktorene foretas følgende gradering: mentalt intakt, lett mentalt redusert, moderat eller alvorlig mentalt redusert. Metodene er tidligere beskrevet og har vært anvendt på tilsvarende måte (7, 13, 14).

    Til statistiske beregninger er ikke-parametriske metoder benyttet, khikvadrattest i 2 ⋅ 2-tabeller med Yates korreksjon, Mann-Whitneys test.

    I forbindelse med åpning av nye sykehjem ble mange beboere med distriktstilhørighet til det nye sykehjemmet overført dit. Ved overføring registrerte man i en del tilfeller ikke hvor lenge vedkommende på forhånd hadde oppholdt seg i et annet sykehjem. For 1996/97 vil derfor gjennomsnittsverdiene for oppholdets varighet gi et feilaktig inntrykk. Ved sammenlikning av endringer i oppholdstid valgte vi derfor å sammenlikne medianverdiene og 95 % konfidensintervall (95 % KI) for disse (15). P-verdier under 0,05 ble valgt som signifikansnivå.

    I alt ble det registrert 2 448 pasienter som var innlagt til langtidsopphold, 1 296 i 1985 og 1 152 i 1996/97. 11 pasienter ble utelukket på grunn av ufullstendige opplysninger vedrørende mental funksjon. Hovedgruppen består således av 2 437 sykehjemsbeboere. Opplysninger vedrørende alder og ADL-funksjoner var ikke komplett for ytterligere 30 pasienter, som ble ekskludert i forbindelse med analyser hvor disse variablene inngår.

    Resultater

    Resultater

    Demografiske opplysninger fremgår av tabell 1. Median alder var ett år høyere i 1996/97 enn i 1985, for menn var dette 83 og 82 år (spredning 54 – 100 år og 33 – 100 år) og for kvinner 86 og 85 år (spredning 39 – 111 år og 27 – 106 år). Det var en signifikant økning i andelen gifte menn (72 % til 86 %, (x 2 = 4,8, p = 0,03) og av enker (80 % til 86 %, (x 2 = 6,3, p = 0,01).

    Tabell 1  

    Demografiske data for langtidspasienter i sykehjem i Bergen i 1985 og i 1996/97

    1985

    1996/97

    N = 1 296

    N = 1 141

    Alder (år) median (spredning) 1, 2

     84  (27 – 106)

     85  (39 – 111)

    Kvinner (%)

     75

     75

    Oppholdstid (dager) median (95 % KI) 3

    870 (795 – 947)

    789 (643 – 842)

    • Opplysninger mangler for 30 pasienter i 1996/97

    • Mann-Whitneys test z = − 5,7; p< 0,0001

    • Oppholdstid: Opplysninger mangler i 1985 for 12, i 1996/97 for 6 pasienter

    I løpet av 11-årsperioden mellom de to undersøkelsene var det en økning av andelen mentalt svekkede beboere (tab 2), fra 77 % i 1985 til 82 % i 1996/97. For menn økte andelen mentalt reduserte fra 70 % til 74 % og for kvinner fra 79 % til 84 %. For kvinner var forskjellen statistisk signifikant (x 2 = 6,9, p = 0,03). Som forventet økte andelen med mentalt svekkede med alderen. Det var ingen forskjell i dette mønsteret mellom de to observasjonsperiodene.

    Tabell 2  

    Mental status og pleiebelastning hos sykehjemspasienter i Bergen i 1985 og i 1996/97

    1985

    1996/97

    N = 1 296

    N = 1 141

    Antall (%)

    Antall (%)

    Mental status 1

    Mentalt intakt

      297 (23)

      211 (19)

    Lett mental svikt

      159 (12)

      171 (15)

    Moderat/alvorlig svikt

      840 (65)

      759 (67)

    Pleiebelastning 2, 3

    Ingen, lett

      100  (8)

       55  (5)

    Moderat

       70  (5)

       50  (4)

    Tung

    1 126 (87)

    1 020 (91)

    • x 2 = 9,3, d.f. = 2, p = 0,01

    • Opplysninger mangler hos 16 pasienter

    • x 2 = 9,6, d.f. = 2, p = 0, 008

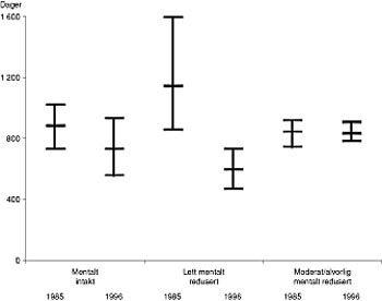
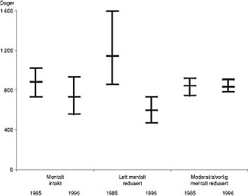
    For sykehjemspopulasjonen som helhet var det ingen signifikant endring i oppholdstid. For pasienter med lett mental reduksjon var oppholdstiden signifikant kortere i 1996/97 enn i 1985 (fig 1).

    Mellom de to registreringstidspunktene ble det registrert en økning av andel pasienter med stort pleiebehov (fra 87 % til 91 %) (tab 2). Andelen beboere med mental svekkelse med stort pleiebehov økte fra 72 % til 75 % (x 2 = 3,99, p< 0,05). De enkelte faktorene hvor endringen var signifikant, var: urininkontinens (43 % til 51 %, (x 2 = 12,8, p< 0,001), pasienter som var vandrende, urolige eller aggressive (25 % til 30 %, (x 2 = 6,7, p = 0,01) og personer med intakt gangfunksjon (25 % til 31 %, (x 2 = 9,99, p = 0,01). 39 % av dem som var i stand til å bevege seg fritt uten hjelpemidler var enten urolige, vandrende, rastløse eller aggressive.

    Diskusjon

    Diskusjon

    I perioden 1985 – 1996/97 ble flere nye sykehjem tatt i bruk i Bergen. I denne forbindelse ble mange sykehjemspasienter ”tilbakeført” til områder hvor de hadde geografisk og sosial tilhørighet. Vi antar derfor at både nye og gamle sykehjem stort sett har et klientell som er sammenliknbart og at foreliggende utvalg er representativt for sykehjemspopulasjonen i Bergen.

    For tidsrommet 1985 – 1996/97 er det for sykehjemmene i Bergen påvist en økning i andelen pasienter med mental svikt. Dette er en utvikling som er forventet. Personer med mental svikt, hvorav de fleste lider av aldersdemens, utgjør den gruppen eldre med hjelpebehov som vanskelig kan tilfredsstilles utenfor institusjon. Det var en generell økning av andelen beboere med stort pleiebehov, fra 87 % til 91 %. Også andelen demente som utgjør tung pleie økte. Det finnes få tilsvarende oversikter fra andre deler av landet. Ved Helseundersøkelsen i Nord-Trøndelag (1995 – 97) brukte man også CDR for vurdering av mental status hos sykehjemspasienter, og fant at 84 % av klientellet hadde mental svikt, beboernes gjennomsnittsalder var 83 år og oppholdstiden 3,4 år (i vår undersøkelse 3,1 år) (16). For pleiebehovet har vi ikke funnet sammenliknbare studier.

    Dersom sykehjem skal ta seg av pasienter som ikke kan tas hånd om på et lavere omsorgsnivå, er utbygging av hjemmetjenestene ensbetydende med at andelen sykehjemspasienter med betydelig pleie- og omsorgsbehov øker. En slik planlagt omfattende endring av sykehjemsklientellet burde utløse en bedret bemanning. Eksakte opplysninger om endringer i bemanningsforholdene i løpet av de senere årene mangler. Ved Planavdelingen i Bergen kommune opplyses det at det ikke har skjedd noen entydig økning av bemanningsforholdene ved eksisterende institusjoner. Nye institusjoner er derimot blitt tilgodesett med en høyere pleiefaktor enn de gamle, mens disse vil få en reell bedring etter hvert som planlagte ombygginger finner sted (P. Waardal, personlig meddelelse). I en annen sammenheng har vi selv registrert høyere pleiefaktor i nyetablerte sykehjem enn i gamle (i gjennomsnitt 0,76 i seks nye henholdsvis 0,66 i 14 gamle sykehjem) (egne, ikke-publiserte data).

    Skjermede enheter ansees i dag som en viktig betingelse for en god institusjonsomsorg for demente, særlig når det foreligger vanskelig atferd. I 1996 var dekningsgraden med skjermede enheter for demente i Bergen 3,6 %, mens landsgjennomsnittet var 8,35 % (17). Omsorg og ansvar for demente med vanskelig atferd stiller store krav til fysisk og psykisk styrke hos betjeningen. Lav bemanning og mangelfull kompetanse bidrar til økt bruk av alle former for tvangs- og sikringstiltak (18). Det bidrar også til den utbrenthet som observeres hos pleiepersonalet og som igjen kan bidra til å senke terskelen for overgrep mot svake gamle (19). Andelen beboere med intakt gangfunksjon er økt. Hos personer som ikke er mentalt redusert er dette en positiv faktor. Hos demente kan dette være del av problemet vandretrang og på den måten representere en økt omsorgsoppgave. Tilsvarende endringer har vi også observert hos beboere i aldershjem (14).

    Ett av formålene med økt satsing på alternative bo- og omsorgsformer har vært å unngå for tidlig innleggelse i sykehjem. Dette har kostnadsmessige årsaker, men det er også et uttrykk for eldres ønske om å få bo lengst mulig i eget hjem. Det er derfor noe overraskende at en reduksjon i oppholdstid kun er observert for personer med lett mental svikt. Vi har ikke funnet noen offentlig statistikk eller andre norske publikasjoner som belyser disse spørsmålene. Som uttrykk for effektivisering av omsorgstjenestene og endret bruk av sykehjem, med den følge at pasienter som innlegges nå er eldre og skrøpeligere enn tidligere, hadde man i Vestfold fra 1980 til 1995 en økning i pasientstrømmen i sykehjem på 88 %, og antallet dødsfall i institusjon økte med 54 %. Her er det imidlertid ikke skilt mellom langtids- og korttidsopphold (20). I Oslo-studien av mental helse blant eldre har man sett at det blant personer som på diagnosetidspunktet hadde en lett demens, var en høyere dødelighet i løpet av en treårsperiode enn blant personer som hadde en moderat eller alvorlig demens (K. Engedal, personlig opplysning). Årsaken kan muligens være at dette er pasienter som i tillegg har annen somatisk sykdom som bidrar til at innleggelse i sykehjem blir nødvendig. Disse funn tas også som uttrykk for at det er lite sannsynlig at pasienter med moderat eller alvorlig mental svikt hadde utviklet dette under et langt opphold i institusjonen.

    Økningen av andelen pasienter med mental svikt og med stort behov for pleie og omsorg reflekterer at demente er den gruppen pasienter som det er vanskeligst å gi et tilfredsstillende omsorgstilbud utenfor institusjon. Det er imidlertid et misforhold mellom denne forventede økningen i andelen demente og den manglende opprustning av institusjonene både personal- og miljømessig. I øyeblikket er mer adekvate institusjonstilbud for demente under oppbygging.

    Det er vanskelig å tolke endringene med hensyn til oppholdstid i institusjon. Den kortere oppholdstid i institusjon for pasienter med lett mental svikt kan være uttrykk for at disse representerer en gruppe pasienter som det har vært mulig å etablere så effektive alternative omsorgstilbud for, at det har gitt seg utslag på den generelle oppholdstiden i sykehjem. Modellen som åpenbart favoriseres i den nylig fremlagte rapporten fra Sosial- og helsedepartementet, neglisjerer at majoriteten av pasienter som bor i sykehjem, i liten grad passer inn i den ”avmedikaliseringsideologien” som propageres for syke gamle (10). Det er med andre ord ikke et spørsmål om enten sykehjem eller omsorgsboliger, men et både – og (21).

    Kommentarer  ( 0 )

    Anbefalte artikler