Erfaringer fra en alderspsykiatrisk avdeling gjennom seks år

    ()

    sporsmal_grey_rgb
    Abstract

    Etter en prosjektperiode i 1994 – 97 har all alderspsykiatrisk kompetanse i Telemark blitt samlet i én avdeling ved sentralsykehuset.

    Hensikten med artikkelen er å beskrive avdelingen før og etter prosjektperioden og å evaluere kvaliteten på tjenestene.

    Avdelingen består av tre differensierte sengeposter og poliklinikk.

    Endringene har vært omfattende og ble evaluert ved hjelp av en internanalyse, brukerundersøkelser og journalgjennomgang. Brukerundersøkelsene ble sendt alle kommuneleger, et utvalg av privatpraktiserende leger og ledere for pleie- og omsorgstjenesten i Telemarks 18 kommuner i 1995 og 1997. En uavhengig konsulent gjennomgikk 40 av avdelingens journaler i 1995 og 1997 og vurderte disse ut fra utvalgte kvalitetskriterier.

    Svarprosenten fra legene ved brukerundersøkelsene var 59 i 1995 og 48 i 1997. Resultatene viser at primærhelsetjenesten i økende grad benytter avdelingens tilbud og at tilfredshet med kvaliteten har økt fra 1995 til 1997. Journalgjennomgangen viste mangler i dokumentasjonen av psykiatriske symptomer og daglige aktiviteter i 1995. Innenfor disse områdene var det signifikante forbedringer i 1997.

    Svarprosenten ved brukerundersøkelsene var relativt lav, og pasienter og pårørende var ikke inkludert. Journalgjennomgangen dokumenterte forbedringer i journalkvaliteten, men om dette gjenspeiler bedre kvalitet i selve arbeidet er mer usikkert. Til tross for disse manglene ved evalueringsmetodene, mener man å kunne konkludere med at omorganiseringen har vært funksjonell og har gitt økt kvalitet på de alderspsykiatriske tjenestene.

    Abstract

    After a project period from 1994 to 1997, all hospital-based psychogeriatric services in the Norwegian county of Telemark have been located to one department in the central hospital. The department has three differentiated bed units and one out-patient unit.

    This article describes the psychogeriatric department before and after the project, and includes an evaluation of the quality of service.

    The changes following the reorganization have been evaluated with an internal analysis, questionnaires to primary health care personnel and an examination of medical and psychiatric records. In 1995 and 1997, questionnaires were sent to general practitioners and district nurses in Telemark County. An independent consultant examined 40 medical and psychiatric records in 1995 and 1997, evaluating them according to selected quality standards.

    The response rates among doctors were 59 % in 1995 and 48 % in 1997. The responses show that primary health care doctors and nurses make use of the department"s services and that they are increasingly satisfied with the quality of these services.

    The examination of medical and psychiatric records shows insufficient documentation of psychiatric symptoms and activities of daily life in 1995, but significant improvements by 1997.

    There are drawbacks to the evaluation method employed. However, we find it warranted to conclude that the reorganisation has been functional and that the quality of services has improved.

    Artikkel

    Alderspsykiatritilbudet i Telemark fylke har de siste årene gjennomgått omfattende endringer. Etter en prosjektperiode fra 1994 til 1997, da man foretok en betydelig omorganisering og utbygging, har fylket nå samlet all alderspsykiatrisk kompetanse i én avdeling ved Telemark sentralsjukehus. Avdelingen er eget avdelingsoverlegeavsnitt med spesialiserte sengeposter og poliklinikk. Avdelingen er blant de første, om ikke den første, i landet organisert etter en slik modell.

    Hensikten med artikkelen er å beskrive avdelingen før og etter prosjektperioden. Hvilke endringer er skjedd og hvordan er erfaringene? For å vurdere om kvaliteten på tjenestene er blitt bedre, gjengir vi resultater fra to spørreundersøkelser foretatt i primærhelsetjenesten, en kvalitetsvurdering av avdelingens journaler og resultatene av en internanalyse.

    Historisk tilbakeblikk

    Historisk tilbakeblikk

    Det alderspsykiatriske tilbudet på spesialistnivå var frem til 1994 organisert med en sengepost tilknyttet voksenpsykiatrisk avdeling og en sengepost ved et kommunalt sykehjem. Diagnostisk hadde de fleste pasientene alvorlige sinnslidelser, vesentlig kronisk schizofreni. Liggetiden var lang (måneder/år), og pasientgjennomstrømningen følgelig lav. Bygningene var uhensiktsmessige og nedslitte, postene var underbemannet og personalet manglet faglig kompetanse.

    Nasjonale faglige anbefalinger

    Nasjonale faglige anbefalinger

    I regi av Sosial- og helsedepartementets utviklingsprogram om aldersdemens ble det i 1994 arrangert en nasjonal konferanse om aldersdemens i Oslo. I rapporten fra konferansen (1) anbefales at hvert fylke bør ha minimum én avdeling på spesialistnivå. Denne skal være ansvarlig for utredning og behandling av demens i tilfeller hvor diagnosen er vanskelig å stille eller hvor det er psykiatriske og/eller atferdsmessige tilleggsproblemer.

    Stortingsmelding nr. 25 (2) om psykiske lidelser og tjenestetilbudene sier at «den psykiatriske spesialisthelsetjenesten for eldre bør være organisert i egne avdelingsavsnitt i alle landets fylker. Disse må bestå av sengeenheter hvor hovedoppgaven er utredning av uklare tilstander og kortvarig behandling av funksjonelle lidelser.» Poliklinisk tilbud og dagbehandling anbefales også.

    Engedal og medarbeidere (3) anbefaler det samme, nemlig én selvstendig alderspsykiatrisk avdeling i hvert fylke (opptaksområde ca. 150 000 – 200 000 innbyggere) med et differensiert tilbud intra- og ekstramuralt.

    Alderspsykiatriprosjektet

    Alderspsykiatriprosjektet

    • Ledelsen ved Telemark sentralsjukehus ble i 1993 kjent med at sentrale helsemyndigheter ønsket å få opprettet fylkesvise alderspsykiatriske avdelinger. Sykehuset søkte og fikk såkalte statlige omstillingsmidler med det mål å

    • – legge ned den psykogeriatriske sykehjemsposten og etablere en alderspsykiatrisk «totalenhet» ved Telemark sentralsjukehus. Enheten skulle inneholde poliklinikk, utredningsenhet, korttidsenhet og langtidsenhet

    • – redusere de samlede netto driftsutgiftene med minst 2,5 millioner

    • – sikre at kvaliteten på de alderspsykiatriske tjenestene i 1998 skulle være like god eller bedre enn i 1994

    Prosjektet ble organisert med arbeids- og styringsgruppe og prosjektleder i full stilling. Finansieringen ble delt mellom stat, fylke og sykehus.

    Avdelingens oppbygning og arbeidsmåte

    Avdelingens oppbygning og arbeidsmåte

    Bygningen stod ferdig høsten 1995. På samme tid ble posten skilt ut som eget avdelingsoverlegeavsnitt. Avdelingen har ikke formell øyeblikkelig hjelp-funksjon, men tar imot hasteinnleggelser hvis man har plass og pasienten ikke er for utagerende.

    • Avdelingen har egen poliklinikk og i alt 15 sengeplasser fordelt på:

    • – Utredningspost, sju plasser

    • – Korttidspost, åtte plasser

    Post for demente med vanskelig atferd, seks plasser, er ikke åpnet pga. manglende driftsmidler.

    Utredningspost . Utredningsposten utreder og behandler pasienter med uklar demensdiagnose og konfusjon (delir) og pasienter med kjent demens og betydelige atferdsproblemer eller psykiatriske problemer. Liggetid er tre til seks uker. Arbeidet er tverrfaglig og består av somatisk og psykiatrisk utredning, utdypende kognitiv testing og observasjon i avdelingen.

    Korttidspost . Korttidsposten utreder og behandler pasienter med funksjonelle psykiatriske lidelser, i det vesentlige psykoser, depresjoner og angst. Engedal og medarbeidere (3) definerer alderspsykiatriens ansvar for disse til dem som først får sin lidelse etter 65 – 70 års alder eller som tidligere har vært syke, men ikke har fast behandlingskontakt. Avgrensningen betyr at f.eks. kronisk schizofrene vanligvis ikke blir innlagt ved alderspsykiatrisk avdeling.

    Liggetiden er fire til åtte uker. Pasienten utredes og behandles somatisk og psykiatrisk og testes ev. kognitivt.

    Post for demente med vanskelig atferd . Avdelingen planla og bygde en egen post til lengre tids behandling av demente med ekstremt vanskelig atferd. Intensjonen var å gi et tilbud over  – 1 år til pasienter som skjermede enheter ved kommunale sykehjem ikke mestrer. Pga. fylkeskommunens stramme økonomi er imidlertid ikke posten åpnet. Som en midlertidig løsning har man økt antall dagbehandlingsplasser i lokalene, men målgruppen er da selvsagt en annen. Tilbudet er mest aktuelt for pasienter med funksjonelle psykiatriske lidelser, som alternativ til innleggelse eller etter en innleggelse.

    Alderspsykiatrisk poliklinikk . Alderspsykiatrisk poliklinikk har vært i full drift med overlege i hel stilling fra våren 1997. Poliklinikken er en såkalt ressurspoliklinikk med ansvar for ekstramurale alderspsykiatriske tjenester i hele fylket. Poliklinikkens personale reiser i hjemmebesøk, på tilsyn til sykehjem, står for forvern, har ansvar for liaisonvirksomhet og veiledning/undervisning. Poliklinikken utreder og behandler pasienter med uklare eller kompliserte alderspsykiatriske lidelser. Pga. store geografiske avstander anbefales det at pasienter med funksjonelle lidelser, f.eks. depresjoner, går til behandling ved allmenne psykiatriske poliklinikker rundt om i fylket.

    Begynnende kognitiv svikt har tidligere ikke vært henvisningsgrunn, men aksepteres nå pga. godkjenningen av donepezil og de spesielle forskrivningsreglene. Poliklinikken har med dette påtatt seg en hukommelsesklinikkfunksjon, som i andre fylker ofte ivaretas av geriatere eller nevrologer.

    Møter med pårørende og primærhelsetjeneste . Felles for sengepostene er at personalet, spesielt ansvarlig sykepleier, har tett kontakt med pårørende. Før utskrivning inviteres pasient (med visse unntak), pårørende og representanter fra primærhelsetjenesten til et møte. I møtet gis informasjon om oppholdet og man diskuterer opplegget rundt utskrivning, omsorgsnivå og oppfølging. Møtene har medført at man har opparbeidet god kontakt med personer i ledende stillinger i pleie- og omsorgstjenestene, og gir i tillegg avdelingen nyttig oversikt over tilbudet i Telemarks 18 kommuner. Avdelingens nye arbeidsformer med økt oppmerksomhet omkring pasientens nettverk har bedret samarbeidet med primærhelsetjenesten generelt. Forståelsen har økt for at avdelingen raskt kan ta imot pasienter hvis kommunene på sin side raskt tar tilbake ferdigbehandlede pasienter.

    Ettervern drives i begrenset omfang og avgrenses vanligvis i tid til uker eller få måneder. Hovedtanken er at et godt samarbeid med primærhelsetjenesten skal gjøre denne i stand til å ta over oppfølgingen av de fleste pasientene.

    Metode og materiale

    Metode og materiale

    Evaluering av de alderspsykiatriske tjenestene

    Evaluering av de alderspsykiatriske tjenestene

    I målsettingen for alderspsykiatriprosjektet var ett av punktene å sikre at kvaliteten på tjenestene var like god eller bedre i 1998 enn den var i 1994. For å vurdere dette gjorde man en tredelt evaluering med brukerundersøkelser og journalgjennomgang ved hjelp av ekstern konsulent og en internanalyse hvor ulike yrkesgrupper analyserte egne arbeidsmåter før og nå (4).

    I tillegg til denne kvalitative evalueringen har man vurdert kvantitative data fra årsmeldinger vedrørende antall henvisninger og innlagte pasienter i tidsrommet 1989 – 98.

    Internanalyse

    Internanalyse

    Lege, psykolog, sykepleier og ergoterapeut beskrev i 1994 og 1997 de enkelte yrkesgruppenes ansvar og arbeidsmåter i avdelingen. I samarbeid beskrev man også møtestruktur, møteinnhold, inntaksrutiner, såkalt pasientflyt og ukeprogram for innlagte pasienter.

    Nedtegnelsene var lagt opp som en nøktern beskrivelse av her-og-nå-situasjonen i de to aktuelle årene. På denne måten ønsket man å kunne oppdage mindre, men viktige endringer i arbeidsmåter og drift.

    Brukerundersøkelser

    Brukerundersøkelser

    Kompetansesenteret for aldersdemens på Granli i Vestfold ble engasjert til å gjennomføre spørreundersøkelser i primærhelsetjenesten i 1995 og 1997. Svarene skulle basere seg på erfaringer gjort i 1994 og 1996/97. Det ble utarbeidet et spørreskjema med 13 spørsmål og mulighet for kommentarer. Hovedhensikten var å kartlegge brukernes syn på avdelingens service og i hvilken grad de fikk dekket sine behov for tjenester. De samme spørsmål ble stilt på begge tidspunkter, men i 1997 spurte vi i tillegg om brukerne hadde registrert endringer i avdelingens tilbud siden omorganiseringen i 1994. Besvarelsene var anonyme og ble sendt Granli senter for bearbeiding.

    Skjemaene ble sendt til alle ledere for pleie- og omsorgstjenester i Telemarks 18 kommuner, alle kommuneleger og et representativt utvalg av privatpraktiserende leger. Antall utsendte skjemaer var færre i 1997, 132, enn i 1995, 147, pga. flytting og omorganiseringer.

    Journalgjennomgang

    Journalgjennomgang

    En konsulent fra kompetansesenteret på Granli gjennomførte i 1995 og 1997 en gjennomgang av 80 journaler. Man ønsket med dette å vurdere journalenes innhold og kvalitet i den tro at dette også reflekterte kvaliteten på avdelingens arbeid. Han valgte ut spørsmålsledd på grunnlag av eksisterende sjekklister innen alderspsykiatri i Norge (5, 6) og anbefalt standard for spesialisthelsetjenestens arbeid i demensutredning (7). Spørsmålene omfattet viktige anamnestiske opplysninger, observasjoner av symptomer og beskrivelse av igangsatte tiltak, momenter som er essensielle for god utredning og behandling. Avdelingens personale visste ikke hvilke kriterier journalene ble vurdert etter.

    40 journaler fra 1995 og 40 fra 1997 ble trukket ut i forhold til tidspunkt for mottatt henvisning. Utvalget ble stratifisert slik at det var 20 journaler fra innlagte pasienter og 20 fra polikliniske hvert år. Både legejournal og sykepleiedokumentasjon ble vurdert.

    De to utvalgene fremstod som tilnærmet homogene hva angikk alder, bosituasjon og sivilstand. Andel henvist for demens og funksjonell psykiatrisk lidelse var også tilnærmet lik.

    Tall fra årsmeldinger

    Tall fra årsmeldinger

    For å se om det hadde skjedd endringer i antall henvisninger, diagnoser, liggetid o.l., gjennomgikk man tall fra årsmeldingene fra 1989 til 1998, altså fra årene før, under og etter omorganiseringen.

    Resultater

    Resultater

    Internanalyse

    Internanalyse

    Internanalysen fra 1994 og 1997 gav detaljerte beskrivelser av yrkesgruppenes arbeidsmåter og avdelingens drift. Resultatene viser at møtestrukturen har endret seg med f.eks. felles inntaksmøte for poliklinikk og sengeposter og nye tverrfaglige diagnosemøter. Enkelte yrkesgrupper har endret sitt arbeidsfelt, så som psykologen som tidligere kun drev testing av kognitive funksjoner, men som i 1997 også drev samtalebehandling ved funksjonelle psykiatriske lidelser.

    Brukerundersøkelser

    Brukerundersøkelser

    Svarprosenten fra ledende sykepleiere i kommunene er høy, 77 i 1995 og 84 i 1997. Legenes svarprosent er lavere, med 51 begge år for privatpraktiserende og 59 og 44 for kommuneleger. Det kom inn besvarelser fra alle kommunene. Av dem som svarte hadde 67 % i 1995 og 82 % i 1997 benyttet tilbudet ved avdelingen. I resultatene som følger har man ved utregning av totalantall trukket fra dem som ikke besvarte spørsmålet eller som krysset av for uaktuelt.

    På spørsmål om hvilke problemstillinger det var henvist i forhold til, viste svarene at det i økende grad dreide seg om behandling av vanskelig atferd hos demente. For legegruppen svarer 16 av 33 i 1995 og 29 av 39 i 1997 at dette ofte eller alltid var henvisningsgrunn. Funksjonell psykiatrisk lidelse var ofte eller alltid henvisningsgrunn hos ca. 42 % begge år.

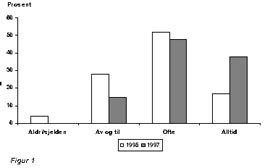
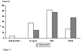
    Da vi spurte om tilbudet ved alderspsykiatrisk avdeling gav svar på det man ønsket bistand til, svarte 23 av 32 av legene i 1995 at de ofte eller alltid fikk ønsket bistand, i 1997 svarer 35 av 38 det samme. Hvis man som vist i figur 1, inkluderer svarene fra pleie- og omsorgstjenesten, er svarene henholdsvis 37 av 54 (69 %) og 52 av 61 (84 %). Endringen er statistisk signifikant (p < 0,01, Mann Whitneys U-test, ikke-parametrisk test for to uavhengige utvalg). Samtidig spurte vi om vårt tilbud medførte at pasienten fikk et mer hensiktsmessig tilbud i kommunen. Her var det ikke forskjell i besvarelsene på de to tidspunktene, ca. 61 % svarte at pasientene ofte eller alltid fikk et bedre tilbud. Av kommentarene fremgikk det at tilbudet i enkelte kommuner er for dårlig og at det gjorde oppfølging i forhold til våre anbefalinger vanskelig.

    Når det gjaldt kontakt og samarbeid med avdelingen, så vi en markert endring i legegruppen, der 24 av 31 i 1995 er godt eller meget godt fornøyd, mens 37 av 39 mener det samme i 1997. I kommentardelen nevner flere at telefonbistand i ventetiden før innleggelse var viktig.

    Lege- og sykepleiergruppen fordelte seg nokså likt på spørsmål om hvordan epikrise/sykepleierrapport fungerte for det videre arbeid med pasientene. Av legene var 23 av 31 godt eller meget godt fornøyd i 1995 og 34 av 39 i 1997.

    I spørreskjemaene i 1997 spurte vi om brukerne hadde registrert endringer i avdelingens tilbud siden prosjektperioden. Samlet svarte 41 av 73 at de hadde registrert dette, mens 32 ikke hadde registrert endringer. Positive momenter som ble nevnt var økt tilgjengelighet, bedret kapasitet, kortere ventetid og høyere faglig nivå.

    Med tanke på utvikling av tilbudet fremover spurte vi så hvilke tjenester det er viktig at avdelingen utvikler videre og hvilken form disse bør ha (fig 2, 3). Det var ingen forskjell i svarene fra 1995 og 1997 mellom leger og sykepleiere eller mellom sentrum og periferi i fylket. Diagnostikk og behandling av vanskelig atferd hos demente er områder som skårer høyt (fig 2). Når det gjelder formen på tjenestene, ønsket i 1997 samlet 91 % økt satsing på korttidsinnleggelser, 78 % vil ha økt satsing på ambulante tjenester og 70 % på veiledning (fig 3). Legene prioriterte ambulante tjenester og korte innleggelser høyest.

    Journalgjennomgang

    Journalgjennomgang

    Når det gjaldt dokumentasjon i journal av anamnestiske opplysninger om sivilstand, boform o.l , var det få mangler i 1995 og i 1997. Når det gjaldt beskrivelse i journal av mental endring, ble denne signifikant forbedret (p< 0,01, Fishers eksakte test, khikvadrattest for små utvalg). I 1995 var mental endring ikke beskrevet i seks av 40 journaler, mens dette var beskrevet i alle 40 journaler i 1997.

    Psykologiske funksjoner mer i detalj (tidsorientering, nærhukommelse, taleflyt, språkforståelse, konsentrasjonsevne) var godt dokumentert i journalene begge år. Funksjonelt psykomotorisk tempo, som svikter tidlig ved flere typer demens, var ikke beskrevet i 18 av 40 journaler i 1995 og 14 av 40 i 1997.

    Detaljert kartlegging av ulike psykiatriske symptomer er sentralt både ved vurderingen av pasienter med demens og pasienter med funksjonelle lidelser. Dokumentasjonen synes å ha bedret seg betydelig mellom de to testtidspunktene. Det er signifikant forskjell mellom 1995 og 1997 hva angår beskrivelse av hallusinasjoner, irritasjon/utagering, angst, rastløshet og avvikende atferd (tab 1, p< 0,01, Fishers eksakte test).

    Tabell

    Tabell 1 Antall journaler hvor ulike psykiatriske symptomer ikke er dokumentert, fordelt på år og tilbudt behandling (N = 80)

    Poliklinisk

    Innlagt 1995

    Sum 1995

    Poliklinisk

    Innlagt 1997

    Sum 1997

    Funksjoner ikke vurdert

    (n = 20)

    (n = 20)

    (n = 40)

    (n = 20)

    (n = 20)

    (n = 40)

    Avvikende atferd

    8

    10 

    18

    2

    7

    9 1

    Mistenksomhet

    11

    7

    18

    5

    5

    10 

    Hallusinasjoner

    13

    8

    21

    5

    4

    9 1

    Irritasjon/utagering

    14

    7

    21

    2

    4

    6 1

    Angst

    13

    3

    16

    2

    4

    6 1

    Rastløshet

    12

    4

    16

    3

    0

    3 1

    Stemningsleie

    8

    0

    8

    2

    0

    2

    Sykdomsinnsikt

    6

    3

    9

    2

    0

    2

    1 P< 0,01 (Fishers eksakte test)

    Dokumentasjon av daglige aktiviteter (søvn, appetitt, personlig hygiene, kontinens, syn og hørsel) var markert bedre i 1997, med signifikante endringer for alle ledd unntatt søvn (tab 2).

    Tabell

    Tabell 2 Antall journaler hvor fungering i dagliglivet ikke er dokumentert, fordelt på år og tilbudt behandling (N = 80)

    Poliklinisk

    Innlagt 1995

    Sum 1995

    Poliklinisk

    Innlagt 1997

    Sum 1997

    Funksjoner ikke vurdert

    (n = 20)

    (n = 20)

    (n = 40)

    (n = 20)

    (n = 20)

    (n = 40)

    Søvnmønster

    11

     8

    19

     9

    1

    10

    Appetitt

    13

    11

    24

    10

    3

    13 1

    Personlig hygiene

    7

    7

    14

    2

    2

    4 1

    Av-/påkledning

    9

    7

    16

    2

    2

    4 1

    Kontinens

    11

    5

    16

    4

    0

    4 1

    Synsfunksjon

    16

    16

    32

    13

    7

    20 1

    Hørselsevne

    16

    18

    34

    14

    6

    20 1

    1 P< 0,01 (Fishers eksakte test)

    Konsulenten registrerte hvor ofte problemer i pasientens nettverk var beskrevet i henvisningsskrivet, men utelatt i journal. På dette området skjedde det en stor forbedring. Pårørendes problemer er ikke beskrevet i 28 av 40 journaler i 1995, mens tallet i 1997 bare er fire av 40 (p< 0,01, Fishers eksakte test). Primærhelsetjenestens problemer er ikke beskrevet i 26 av 40 journaler i 1995 og i seks av 40 i 1997 (p< 0,01, Fishers eksakte test). For pårørende hvor det var dokumentert problemer i omsorgssituasjonen, ble det i 1997 foreslått konkrete behandlingstiltak i 36 av 40 tilfeller mot åtte av 40 i 1995 (p< 0,01, Fishers eksakte test).

    Den uavhengige observatøren foretok til slutt en helhetlig kvalitativ vurdering av avdelingens arbeid, basert på journalenes innhold. Kriteriene som ble lagt til grunn var kvalitet i diagnostikk, igangsetting av behandlingstiltak og oppfølging av pasienter. Resultatene viste at andel tilfeller med store mangler var blitt betydelig redusert mellom 1995 og 1997 (fig 4).

    Figur 4   Kvalitet på utredningsarbeidet, basert på en kvalitativ vurdering av de samlede journalopplysningene, utført av uavhengig observatør (n = 80)

    Tall fra årsmeldinger

    Tall fra årsmeldinger

    Antall henvisninger har økt fra 119 per år i 1993 til 266 i 1998 (tab 3, tall fra før 1993 finnes ikke). Antall innleggelser har imidlertid holdt seg relativt konstant rundt 100 per år. Liggetiden har ikke gått ned og fortsatt utskrives omkring halvparten av pasientene til institusjon av en eller annen form.

    Tabell

    Tabell 3 Oversikt over innlagte pasienter ved alderspsykiatrisk avdeling i tiårsperioden 1989 – 98. Gjennomsnittstall fra årene før (1989 – 93), under (1994 – 97) og etter (1998) prosjektperioden. 15 sengeplasser

    1989 – 93

    1994 – 97

    1998

    Skriftlige henvendelser

    1191 

    159 

    266 

    Innleggelser, antall

    99

    872

    104 

    Gjennomsnittlig antall oppholdsdager

    36

    44

    43

    Gjennomsnittsalder innlagte pasienter (år)

    74

    77

    76

    Innlagt fra hjemmet (%)

    51

    56

    53

    Innlagt fra aldershjem (%)

    23

    19

    22

    Innlagt fra andre institusjoner (%)

    25

    25

    24

    Utskrevet til hjemmet (%)

    53

    53

    44

    Utskrevet til alders-/sykehjem (%)

    26

    33

    34

    Utskrevet til andre institusjoner (%)

    19

    11

    15

    1 Kun tall fra 1993

    2 Kun 7 – 8 sengeplasser i 1994

    Diskusjon

    Diskusjon

    Internanalyse

    Internanalyse

    Internanalysen dokumenterer detaljerte endringer i avdelingens arbeidsmåter, endringer som ellers ikke fremkommer hvis man ser på organisasjonskart, journaler og brukernes vurderinger. Analysen er subjektiv og har først og fremst verdi innad i avdelingen og som historisk materiale. Den er nyttig for avdelingsledelsen i planlegging av driften, men har begrenset informasjonsverdi utad.

    Brukerundersøkelser

    Brukerundersøkelser

    Resultatene fra brukerundersøkelsene viser en endring i hvilke pasienter med kognitiv svikt som blir henvist. Mens avdelingen tidligere fikk flere pasienter til diagnostisk utredning, synes det nå som primærlegene i økende grad avklarer dette selv. De pasientene som volder størst problemer og som stadig oftere blir henvist, er pasienter med kjent demensdiagnose og atferdsmessig og psykologisk tilleggsproblematikk. Kompetanse innen nettopp dette feltet skårer også høyt når legene blir spurt om hvilke tjenester vi bør utvikle videre.

    Flere av spørsmålene omhandler samarbeid mellom primær- og spesialisthelsetjenesten, og tendensen viser økende tilfredshet. Avdelingens satsing på tilgjengelighet, hyppig telefonkontakt i ventetid og under innleggelse, møter med primærhelsetjenesten samt raske og fyldige epikriser og sykepleierrapporter, tror man er hovedforklaringen på de gode resultatene.

    De egentlige brukerne av avdelingens tjenester er selvsagt pasienter og pårørende, og det er en svakhet ved evalueringen at deres meninger ikke er innhentet. Vi valgte imidlertid kun å utspørre primærhelsetjenesten ut fra etiske betraktninger og stramme tidsrammer.

    I løpet av prosjektperioden var avdelingen omtalt i lokale medier en rekke ganger. Avdelingen sendte ut skriftlig informasjonsmateriale samt holdt møter i ulike deler av fylket. Økt oppmerksomhet omkring avdelingen kan ha trukket en del av svarene i positiv retning.

    Den lave svarprosenten hos legene kan ha mange forklaringer, alt fra at travle primærleger er lei av stadige spørreundersøkelser til at de ikke har brukt avdelingen og fant undersøkelsen irrelevant. Det fremgår at så mange som 87 % og 95 % av legene i 1997 henholdsvis er godt eller meget godt fornøyd med epikriser og samarbeid. Man kan da selvsagt undres på om de som ikke besvarte, hadde mer negative erfaringer.

    Når det gjelder spørsmålet om hvilke tjenester avdelingen bør utvikle videre, er svarkategoriene noe overlappende og ikke godt nok definert i skjemaet. Vurdering av medisinering er oppsatt som selvstendig svarmulighet, men inngår jo naturligvis både i behandling av funksjonelle lidelser og vanskelig atferd hos demente.

    Journalgjennomgang

    Journalgjennomgang

    Gjennomgangen viste at innholdet i journalene hadde endret seg betydelig i positiv retning.Tendensen var generell, men mest markert i forhold til dokumentasjon av daglige aktiviteter og psykiatriske symptomer. Det er ikke holdepunkter i tilgjengelige data for at ulikheter i resultater kan skyldes ulikheter i utvalgene.

    For pasienter både med og uten kognitiv svikt er grundig anamnese med hensyn til utviklingen av mental endring viktig. Kartleggingen er helt avhengig av gode komparentopplysninger. Avdelingens satsing på samarbeid med pårørende og primærhelsetjeneste kan være noe av forklaringen på at symptomer og funksjoner dokumenteres bedre i journalene i 1997.

    Hovedinnvendingen mot journalgjennomgang som metode er at bedret kvalitet på dokumentasjon i journal ikke nødvendigvis betyr bedret kvalitet på det arbeidet som faktisk gjøres.

    Tall fra årsmeldinger

    Tall fra årsmeldinger

    På tross av at antall henvisninger er mer enn fordoblet fra 1993 til 1998 (tab 3), har antall innleggelser holdt seg relativt konstant. Forklaringen er sannsynligvis at betydelig flere pasienter de siste årene vurderes poliklinisk før innleggelse, og at innleggelse da ofte kan unngås.

    Når det gjelder demente pasienter, er det vår oppfatning at færre henvises for diagnostisk utredning og flere pga. psykotiske symptomer og aggressiv atferd.

    Svært aggressive demente, pasienter med alvorlig depresjon og næringsvegring, suicidale og pasienter med alvorlig somatisk sykdom i tillegg til psykiatrisk lidelse, tas nå hånd om ved alderspsykiatrisk avdeling. Problematikk av denne type tror man kan være noe av forklaringen på at liggetiden ikke har gått ned de siste årene og at mange pasienter fortsatt må utskrives til sykehjem.

    Konklusjon

    Konklusjon

    Alderspsykiatri i Telemark var før 1990 synonymt med langtidsbehandling av eldre med kronisk alvorlig sinnslidelse. Tilbudet har endret seg vesentlig, spesielt gjennom alderspsykiatriprosjektet i tiden 1994 – 97. Alderspsykiatrisk avdeling fremstår nå som en selvstendig enhet med differensierte tjenester i en spesialtilpasset bygning.

    Samarbeidet med primærhelsetjenesten i fylkets 18 kommuner fungerer etter vår vurdering tilfredsstillende. Brukerundersøkelsene viser at primærleger og ledere i pleie- og omsorgstjenestene kjenner avdelingens tilbud og er godt fornøyd med tilbudets art, ventetid og generelle service. De ønsker at avdelingen satser videre på kompetanse innen diagnostikk av kompliserte alderspsykiatriske lidelser, behandling av vanskelig atferd hos demente og medisinering. Ambulante tjenester, kortvarige innleggelser og veiledning er ønskede former for tjenester.

    Ekstern vurdering av et utvalg journaler i 1995 og 1997 viste tilfredsstillende kvalitet og forbedringer ved undersøkelsen i 1997. Dette er forhåpentlig også uttrykk for forbedringer i kvalitet av selve arbeidet som gjøres, ikke bare i dokumentasjonen.

    Fagpersonalet i avdelingen og samarbeidspartnere internt og eksternt synes så langt å være godt fornøyd med ny organisering og nye arbeidsmåter. Evalueringen viser at Telemarks modell, med samling av fylkets alderspsykiatriske kompetanse i én avdeling med et differensiert tilbud, er funksjonell og vel verdt å satse videre på.

    Kommentarer  ( 0 )

    Anbefalte artikler